
99 = 9 * 11
признаки деления
на 9 - сумма цифр, из которых состоит число, должна делится на 9
на 11 - суммы цифр. стоящих на четных или нечетных местах, должны быть равны или отличатся на 11
пусть x y две цифры
x86420y 0 <= x, y <= 9 0<= x+y <=18
1. x + 8 + 6 + 4 + 2 + y + 0 = x + y + 20
признак деления на 9 сумма кратна 9 тогда x+y = 7 или x+y = 16
2. рассмотрим признак деления на 11
x + 6 + 2 + y = 8 + 4 + 0 или x + 6 + 2 + y = 8 + 4 + 0 + 11
x + y + 8 = 12 или x + y + 8 = 23
x + y = 4 или x + y = 15
В первом случае сумма x+y=7 или 16 во втором 4 или 15
Таких цифр НЕТ
99 = 9 * 11
признаки деления
на 9 - сумма цифр, из которых состоит число, должна делится на 9
на 11 - суммы цифр. стоящих на четных или нечетных местах, должны быть равны или отличатся на 11
пусть x y две цифры
x86420y 0 <= x, y <= 9 0<= x+y <=18
1. x + 8 + 6 + 4 + 2 + y + 0 = x + y + 20
признак деления на 9 сумма кратна 9 тогда x+y = 7 или x+y = 16
2. рассмотрим признак деления на 11
x + 6 + 2 + y = 8 + 4 + 0 или x + 6 + 2 + y = 8 + 4 + 0 + 11
x + y + 8 = 12 или x + y + 8 = 23
x + y = 4 или x + y = 15
В первом случае сумма x+y=7 или 16 во втором 4 или 15
Таких цифр НЕТ
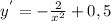
Пошаговое объяснение:
Критические точки: