М
Молодежь
К
Компьютеры-и-электроника
Д
Дом-и-сад
С
Стиль-и-уход-за-собой
П
Праздники-и-традиции
Т
Транспорт
П
Путешествия
С
Семейная-жизнь
Ф
Философия-и-религия
Б
Без категории
М
Мир-работы
Х
Хобби-и-рукоделие
И
Искусство-и-развлечения
В
Взаимоотношения
З
Здоровье
К
Кулинария-и-гостеприимство
Ф
Финансы-и-бизнес
П
Питомцы-и-животные
О
Образование
О
Образование-и-коммуникации
daviddavidbelovbelov
daviddavidbelovbelov
23.03.2020 15:30 •  Математика

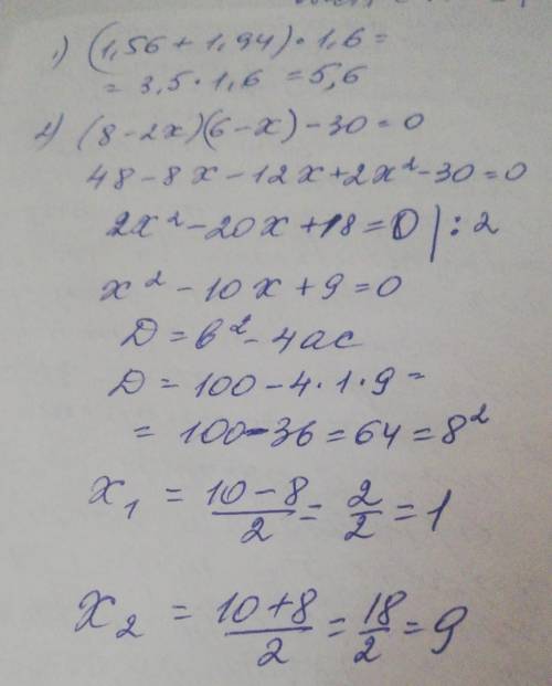
с впр (найдите значения вырожения 1) (1,56+1,94) *1,6.
Решите уравнение:
2) (8-2x)(6-x)-30=0.

👇
Ответ:
nik232451
nik232451
23.03.2020

Смотри решение на фото


с впр (найдите значения вырожения 1) (1,56+1,94) *1,6. Решите уравнение: 2) (8-2x)(6-x)-30=0.
4,5(1 оценок)
Открыть все ответы
Ответ:
kpodavilnikova
kpodavilnikova
23.03.2020
1) 1 год. 2000*0,05=20*5=100р - проценты.
     2 год 2100*0,05=21*5=105гр. - проценты.
     3 год  2205*0,05=22,05*5=110,25 гр Итого 2205+110,25=2315,25 гр.
2) 1000*0,1=100гр - проценты за 1 год Итого 1100 гр.
    1100*0,1=110гр. - проценты за 2 год. Итого 1210 гр.
1-ый вклад принесет 315,25 гр., второй 210 гр., но за 2 года.
За третий год 1000 гр. принесут еще 1210*0,1=121гр. всего 331гр.

Трудно сравнивать, т.к. сроки разные. Если за 2 года, то выгоднее 2-ой вклад, и за три тоже, но разница небольшая, а вложить 1000 гр. легче, чем 2000 гр.
4,8(78 оценок)
Ответ:
Найдем прибыль дедушки с вклада 2000 грн под 5% годовых на 3 года. Через год сумма на счете составит 
2000 грн • 1,05 = 2100 грн, через два года - 2100 грн • 1,05 = 2205 грн, а через три года - 2205 грн • 1,05 = 2315,25 грн. То есть чистая прибыль составит: 2315,25 грн - 2000 грн = 315,25 грн. 
Найдем прибыль дедушки с вклада 1000 грн под 10% годовых на 2 года. Через год сумма на счете составит 1000 грн • 1,1 = 1100 грн, через два года - 1100 грн - 1,1 = 1210 грн. То есть чистая прибыль составит: 1210 грн - 1000 грн = 210 грн. Поэтому выгоднее сделать первый вклад.
4,7(10 оценок)
Это интересно:
Новые ответы от MOGZ: Математика
logo
Вход Регистрация
Что ты хочешь узнать?
Спроси Mozg
Открыть лучший ответ