М
Молодежь
К
Компьютеры-и-электроника
Д
Дом-и-сад
С
Стиль-и-уход-за-собой
П
Праздники-и-традиции
Т
Транспорт
П
Путешествия
С
Семейная-жизнь
Ф
Философия-и-религия
Б
Без категории
М
Мир-работы
Х
Хобби-и-рукоделие
И
Искусство-и-развлечения
В
Взаимоотношения
З
Здоровье
К
Кулинария-и-гостеприимство
Ф
Финансы-и-бизнес
П
Питомцы-и-животные
О
Образование
О
Образование-и-коммуникации
LBVFCBRF
LBVFCBRF
27.02.2022 18:56 •  Математика

Решите уравнение х/4+×/3=×/6+5; 2х/3-4х/5=х/5; 3х/8-х/6=х/12-1​

👇
Ответ:
llVorobeyll
llVorobeyll
27.02.2022

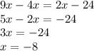
1) x = 12

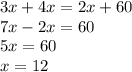
2) x = 0

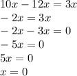
3) x = -8

Пошаговое объяснение:

1)  \frac{x}{4} +\frac{x}{3} =\frac{x}{6} +5   (умножим всё уравнение на 12)

    3x+4x=2x+60\\7x-2x=60\\5x=60\\x=12

2) \frac{2x}{3} -\frac{4x}{5} =\frac{x}{5} (умножим всё уравнение на 15)

    10x-12x=3x\\-2x=3x\\-2x-3x=0\\-5x=0\\5x=0\\x=0

3) \frac{3x}{8} -\frac{x}{6} =\frac{x}{12} -1 (умножим всё уравнение на 24)

   9x-4x=2x-24\\5x-2x=-24\\3x=-24\\x=-8

4,7(27 оценок)
Открыть все ответы
Ответ:
данил1956
данил1956
27.02.2022
1. притвор, сам храм (средняя часть) и алтарь;
2. небольшая христианская постройка с иконами, не имеющая алтаря;
3. «главная часть»,«корабль»;
4. (не поняла что именно требуется, обширно или просто перечислить)
5. церковь состоит из людей, для которых важны эти святыни, необходимо уважать их, если есть хоть немного воспитания.
также есть закон об оскорблении;
6. алтарный выступ, ориентированный обычно на восток;
7. -западная часть храма. с одной стороны притвора располагается паперть, с другой проход в среднюю часть храма. В притворе по уставу совершаются некоторые богослужения – обручения, чин оглашения и др.
-крыльцо храма, площадка перед входными дверями храма, на которую ведут несколько ступеней;
8. над четырьмя стенами главной части храма возвышается свод, обычно в виде полусферы, подобно тому как над четырьмя сторонами света простирается небесная твердь. затем представление о небесном своде было перенесено на купол – подобие неба, и, соответственно, представление о Боге Вседержителе переносится на храмовый купол.
4,8(87 оценок)
Ответ:
tatleb
tatleb
27.02.2022

Если известно, что центр участка имел квадратную форму, то, обозначив его сторону за а метров, площадь этого участка будет равна а * а м2. Если также были участки в виде 4 полукругов, то их при диаметре а метров, площадь каждого полукруга будет равна 1/2π(а/2)2. Т.е. все 4 полукруга в сумме имеют площадь:

4 * 1/2π(а/2)2 = 2π(а/2)2 = 1/2πа2. Если принять π ≈ 3, тогда площадь равна 3/2а2 = 1,5а2.

Получаем в сумме площадь всех участков:

а2 + 1,5а2 = 90,

2,5а2 = 90,

а2 = 36,

а = 6.

Значит радиус полукруга равен 6/2 = 3 (м).

А ограждение имеет длину, равную длине 4 полукругов: 4 * 1/2πа = 2 * 3 * 6 = 36 (м).

ответ: сторона квадрата 6 м, радиус 3 м, а длина ограждения 36 м.

4,7(77 оценок)
Это интересно:
Новые ответы от MOGZ: Математика
logo
Вход Регистрация
Что ты хочешь узнать?
Спроси Mozg
Открыть лучший ответ