М
Молодежь
К
Компьютеры-и-электроника
Д
Дом-и-сад
С
Стиль-и-уход-за-собой
П
Праздники-и-традиции
Т
Транспорт
П
Путешествия
С
Семейная-жизнь
Ф
Философия-и-религия
Б
Без категории
М
Мир-работы
Х
Хобби-и-рукоделие
И
Искусство-и-развлечения
В
Взаимоотношения
З
Здоровье
К
Кулинария-и-гостеприимство
Ф
Финансы-и-бизнес
П
Питомцы-и-животные
О
Образование
О
Образование-и-коммуникации
Misha91111
Misha91111
18.12.2022 07:26 •  Математика

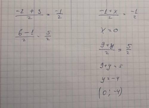
При паралельному перенесенні точка М (-2;6) переходить в точку Р (3; -1). В яку точку переходить при цьому паралельному перенесенні точка К(-1;9)?

👇
Ответ:
arinapretty
arinapretty
18.12.2022

(0;-4)..............


При паралельному перенесенні точка М (-2;6) переходить в точку Р (3; -1). В яку точку переходить при
4,6(96 оценок)
Открыть все ответы
Ответ:
vladimirn177
vladimirn177
18.12.2022
   Мыслим нестандартно :-) Анализируя задание, становится ясно, что в десятичной записи его невозможно выполнить. Какие ещё есть системы записи чисел?
Двоичная: "0"- это ноль; "1"- это один; "10"- это два; "11"- это три... не то;
Шестнадцатиричная: "0"- это ноль; "1"- это один; "2"- это два; "3"- это три;... "9"- это девять; "А"- это десять; "В" - одиннадцать; "С" - двенадцать... - вот оно!
   Итак, берём нижнюю горизонтальную спичку из "8" и переставляем на "минус", чтобы получился "+" - получаем
6 + 4 = А, что в переводе с шестнадцатиричной системы в десятиричную означает 6 + 4 = 10 
Эврика!
   
   
4,6(41 оценок)
Ответ:
zhanik2017
zhanik2017
18.12.2022
Однажды в 4 классе мне очень сильно понравился(ась) один мальчик (девочка). близился день Святого Валентина и я очень хотел(а) подарить ему (ей) валентинку. решил(а) положить валентинку ему (ей) в пенал. четырнадцатого февраля я так и сделал(а). начался урок и я был(а) в предкушении. он(а) увидел(а) эту валентинку, прочитал(а) её и с ухмылкой на лице порвал(а) валентинку. я растроился(ась) и на этом он(а) мне больше не нравился(ась). вот такой была моя первая любовь, которая запомнилась мне на всю жизнь
4,8(50 оценок)
Новые ответы от MOGZ: Математика
logo
Вход Регистрация
Что ты хочешь узнать?
Спроси Mozg
Открыть лучший ответ