М
Молодежь
К
Компьютеры-и-электроника
Д
Дом-и-сад
С
Стиль-и-уход-за-собой
П
Праздники-и-традиции
Т
Транспорт
П
Путешествия
С
Семейная-жизнь
Ф
Философия-и-религия
Б
Без категории
М
Мир-работы
Х
Хобби-и-рукоделие
И
Искусство-и-развлечения
В
Взаимоотношения
З
Здоровье
К
Кулинария-и-гостеприимство
Ф
Финансы-и-бизнес
П
Питомцы-и-животные
О
Образование
О
Образование-и-коммуникации
Povelitel2004
Povelitel2004
07.03.2022 00:11 •  Математика

Виленкин пятый класс номер 1752 решить уравнение​


Виленкин пятый класс номер 1752 решить уравнение​

👇
Ответ:
rasaka123
rasaka123
07.03.2022

Пошаговое объяснение:


Виленкин пятый класс номер 1752 решить уравнение​
4,4(12 оценок)
Открыть все ответы
Ответ:
tatsux2010
tatsux2010
07.03.2022
Дано: 523 цыплят всего; петушков (х)-? ; курочек-(х+25)-? Уравнение; Х+х+25=523; ->> 2х=523-25; ->> 2х=498; ->>> х=498:2; ->> х=249; петушков было 249; а курочек 249+25=274; проверка х+(х+25)= 249+249+25=523всего. ответ: в инкубаторе было выведено 249петушков и 274курочки; Решение без иксов; если курочек больше на 25, то мы их вычтем из общего количества 1) 523-25=498 петушков и курочек, но тут их поровну, значит 2) 498:2=249 петушков; и теперь добавим то, что вычли 25 курочек; 3) 249+25=274курочки;
4,6(82 оценок)
Ответ:
катя13092006
катя13092006
07.03.2022
"Привет, меня зовут Витя. Я хочу рассказать вам одну очень интересную историю. .
Мой одноклассник Саша очень не любил уроки музыки. В школе он ходил на них с большой неохотой, на вопросы учительницы не отвечал, а бурчал. Да и петь Саша не любил, морщился.
Так вот, о чем это я? Ах да, не любил Сашка музыку. Зато он был талантливый артист, даже ходит на театральный кружок. Завидую я Сашке, уж очень он хорошо играет роли. Но. .
Нашему школьному кружку по театру предложили сыграть очень хорошую и добрую сказку в Доме Творчества. Очень Саша обрадовался. Наш директор согласился, и назначил много репетиций. Саша очень старался на этих репетициях, и ему конечно дали главную роль.
Все было отлично, я ему выбирать костюм, Саша играл отважного пирата.
несколько дней, и вдруг выяснилось, что пират должен был петь песню про синее море. 
Ох, как Саша расстроился! Но потом решил, что будет ходить на уроки музыки, ведь музыкальные возможности открывают многие дороги для человека. За неделю Саша смог научиться петь, и очень хорошо сыграл свою роль! Я очень горжусь Сашкой. .

Эта сказка учит тому, что музыка может совершить хорошие поступки, учит радости, и развивает нашу душу. .
:)
4,7(42 оценок)
Новые ответы от MOGZ: Математика
logo
Вход Регистрация
Что ты хочешь узнать?
Спроси Mozg
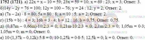
Открыть лучший ответ