М
Молодежь
К
Компьютеры-и-электроника
Д
Дом-и-сад
С
Стиль-и-уход-за-собой
П
Праздники-и-традиции
Т
Транспорт
П
Путешествия
С
Семейная-жизнь
Ф
Философия-и-религия
Б
Без категории
М
Мир-работы
Х
Хобби-и-рукоделие
И
Искусство-и-развлечения
В
Взаимоотношения
З
Здоровье
К
Кулинария-и-гостеприимство
Ф
Финансы-и-бизнес
П
Питомцы-и-животные
О
Образование
О
Образование-и-коммуникации
лейс1215
лейс1215
28.12.2021 15:37 •  Математика

швидкість руху точки виражається формулою v=8t-3t² знайти шлях пройдений точкою від початку руху до зупинки, (розв'язок через визначений інтеграл)

👇
Ответ:
KowMAp
KowMAp
28.12.2021

Пошаговое объяснение:

сначала найдет время, через которое точка остановится т.е. скорость станет равна 0

0 = 8t -3t²  ⇒   t = 0   t =  8/3

t=0 не подходит, т.к. точка все-таки какое-то время двигалась. значит, знаше время t = 8/3

теперь ищем путь как интеграл от скорости по границам [0; 8/3]

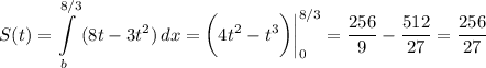
\displaystyle S(t) = \int\limits^{8/3}_b {(8t-3t^2)} \, dx =\bigg (4t^2-t^3\bigg ) \bigg |_0^{8/3}=\frac{256}{9} -\frac{512}{27} =\frac{256}{27}    (единиц измерения)

4,6(42 оценок)
Открыть все ответы
Ответ:

За сутки со всех 8 железнодорожных вокзалов отправляется 184 поезда дальнего следования.

Пошаговое объяснение:

Узнаем количество поездов дальнего следования со второго вокзала:

1) 37 - 4 = 33 ( п. ) - со второго вокзала.

Узнаем количество поездов дальнего следования с третьего вокзала:

2) 33 - 4 = 29 ( п. ) - с третьего вокзала.

Узнаем количество поездов дальнего следования с четвёртого вокзала:

3) 29 - 4 = 25 ( п. ) - с четвёртого вокзала.

Узнаем количество поездов дальнего следования с пятого вокзала:

4) 25 - 4 = 21 ( п. ) - с пятого вокзала.

Узнаем количество поездов дальнего следования с шестого вокзала:

5) 21 - 4 = 17 ( п. ) - с шестого вокзала.

Узнаем количество поездов дальнего следования с седьмого вокзала:

6) 17 - 4 = 13 ( п. ) - с седьмого вокзала.

Узнаем количество поездов дальнего следования с восьмого вокзала:

7) 13 - 4 = 9 ( п. ) - с восьмого вокзала.

Узнаем общее количество поездов дальнего следования:

8) 37 + 33 + 29 + 25 + 21 + 17 + 13 + 9 = 184 ( п. ) - общее количество поездов дальнего следования.

УДАЧИ! ОБРАЩАЙТЕСЬ!
4,5(23 оценок)
Ответ:
ролл10
ролл10
28.12.2021
Родились на свет у мамы наседки восемь цыплят. И пошли они с мамой по птичьему двору погулять. Походили,походили и увидел один цыпленок красивую птицу засмотрелся на нее и отбился от братьев своих и мамы.Заметил цыпленок что мама в толпе скрылась и заплакал. Увидела цыпленка утка.Подошла к нему и спрашивает почему он один по большему птичьему двору гуляет.А цыпленок ей отвечает что дескать потерялся он. Увидела утка два брата гуся, кликнула их и рассказала как дело было. задумались и утка, и гуси, и цыпленок.Стали думать гадать как цыпленка назад к маме и братьям вернуть и предумали на конец.Развесили они объявления что пропал цыпленок.Через неделю нашлась мама ципленка. И жили они с мамой и братьями счастливо.
4,6(87 оценок)
Это интересно:
Новые ответы от MOGZ: Математика
logo
Вход Регистрация
Что ты хочешь узнать?
Спроси Mozg
Открыть лучший ответ