М
Молодежь
К
Компьютеры-и-электроника
Д
Дом-и-сад
С
Стиль-и-уход-за-собой
П
Праздники-и-традиции
Т
Транспорт
П
Путешествия
С
Семейная-жизнь
Ф
Философия-и-религия
Б
Без категории
М
Мир-работы
Х
Хобби-и-рукоделие
И
Искусство-и-развлечения
В
Взаимоотношения
З
Здоровье
К
Кулинария-и-гостеприимство
Ф
Финансы-и-бизнес
П
Питомцы-и-животные
О
Образование
О
Образование-и-коммуникации
spilevdenis1
spilevdenis1
18.06.2021 22:20 •  Математика

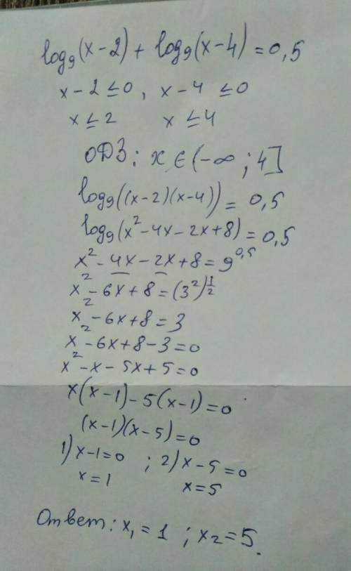
Определи корни уравнения: log9(x−2)+log9(x−4)=0,5​


Определи корни уравнения: log9(x−2)+log9(x−4)=0,5​

👇
Ответ:
RIGBY19204
RIGBY19204
18.06.2021

5 ; 1

Пошаговое объяснение:

Решение смотри на фотографии


Определи корни уравнения: log9(x−2)+log9(x−4)=0,5​
4,4(72 оценок)
Открыть все ответы
Ответ:
YULIAPETROVA84
YULIAPETROVA84
18.06.2021
1.    Мать будущего композитора, Софья Васильевна, была замечательной пианисткой с академическим музыкальным образованием. Она привила своим детям огромную любовь к музыке и дала им первые уроки игры на фортепиано.
2.    Начало мировой известности Шостаковича положила его дипломная работа – Первая симфония, выполненная в лучших традициях Чайковского, Римского-Корсакова и Мусоргского. Это произведение написано Шостаковичем в 19-летнем возрасте.
3.    Дмитрий Шостакович был не только известным композитором, но и замечательным педагогом. Он работал в Московской и Ленинградской консерваториях и продолжал преподавать музыку даже в годы Великой Отечественной войны.В 1948 году Шостаковича обвинили в «пресмыкательстве перед Западом» и лишили звания профессора Московской и Ленинградской консерваторий; главным обвинителем Шостаковича был партиец Андрей Жданов. Вернуться к преподаванию композитор смог только через 13 лет.
4.    Самые известные музыкальные произведения Шостаковича – это Пятая, Десятая и Пятнадцатая симфонии. Пятая симфония была написана и исполнена в 1937 году и имела невероятный успех – на премьере овации зрителей длились почти час
5.    Дмитрий Шостакович был женат трижды. Его первая жена,Нина Васильевна, была по профессии астрофизиком, училась у знаменитого физика Абрама Иоффе. Она отказалась от научной карьеры и полностью посвятила себя семье. Первый брак Шостаковича окончился со смертью Нины Васильевны от рака. Второй женой композитора стала сотрудница ЦК ВЛКСМ, однако этот союз довольно быстро распался. Третьей женой Шостаковича, которому на тот момент исполнилось 55 лет, стала редактор издательства «Советский композитор» Нина Антоновна. Она была намного младше Шостаковича и была рядом с ним до последних дней его жизни. Сын композитора, Максим Шостакович, пошел по стопам отца и стал пианистом и дирижером.
4,7(88 оценок)
Ответ:
ilonamoon2000
ilonamoon2000
18.06.2021
1.    Мать будущего композитора, Софья Васильевна, была замечательной пианисткой с академическим музыкальным образованием. Она привила своим детям огромную любовь к музыке и дала им первые уроки игры на фортепиано.
2.    Начало мировой известности Шостаковича положила его дипломная работа – Первая симфония, выполненная в лучших традициях Чайковского, Римского-Корсакова и Мусоргского. Это произведение написано Шостаковичем в 19-летнем возрасте.
3.    Дмитрий Шостакович был не только известным композитором, но и замечательным педагогом. Он работал в Московской и Ленинградской консерваториях и продолжал преподавать музыку даже в годы Великой Отечественной войны.В 1948 году Шостаковича обвинили в «пресмыкательстве перед Западом» и лишили звания профессора Московской и Ленинградской консерваторий; главным обвинителем Шостаковича был партиец Андрей Жданов. Вернуться к преподаванию композитор смог только через 13 лет.
4.    Самые известные музыкальные произведения Шостаковича – это Пятая, Десятая и Пятнадцатая симфонии. Пятая симфония была написана и исполнена в 1937 году и имела невероятный успех – на премьере овации зрителей длились почти час
5.    Дмитрий Шостакович был женат трижды. Его первая жена,Нина Васильевна, была по профессии астрофизиком, училась у знаменитого физика Абрама Иоффе. Она отказалась от научной карьеры и полностью посвятила себя семье. Первый брак Шостаковича окончился со смертью Нины Васильевны от рака. Второй женой композитора стала сотрудница ЦК ВЛКСМ, однако этот союз довольно быстро распался. Третьей женой Шостаковича, которому на тот момент исполнилось 55 лет, стала редактор издательства «Советский композитор» Нина Антоновна. Она была намного младше Шостаковича и была рядом с ним до последних дней его жизни. Сын композитора, Максим Шостакович, пошел по стопам отца и стал пианистом и дирижером.
4,6(53 оценок)
Это интересно:
Новые ответы от MOGZ: Математика
logo
Вход Регистрация
Что ты хочешь узнать?
Спроси Mozg
Открыть лучший ответ