М
Молодежь
К
Компьютеры-и-электроника
Д
Дом-и-сад
С
Стиль-и-уход-за-собой
П
Праздники-и-традиции
Т
Транспорт
П
Путешествия
С
Семейная-жизнь
Ф
Философия-и-религия
Б
Без категории
М
Мир-работы
Х
Хобби-и-рукоделие
И
Искусство-и-развлечения
В
Взаимоотношения
З
Здоровье
К
Кулинария-и-гостеприимство
Ф
Финансы-и-бизнес
П
Питомцы-и-животные
О
Образование
О
Образование-и-коммуникации
marija01021
marija01021
18.03.2020 11:35 •  Математика

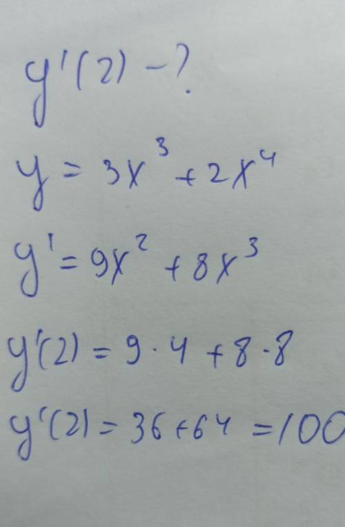
знайти y'(2), якщо y=3x³+2x⁴​

👇
Ответ:
Kotic777
Kotic777
18.03.2020

Пошаговое объяснение:

............ ................


знайти y'(2), якщо y=3x³+2x⁴​
4,4(70 оценок)
Открыть все ответы
Ответ:
shansosia05sofisofi
shansosia05sofisofi
18.03.2020
Задача не может быть тупой...

Задача номер 2)

Пусть х - расстояние, которое подводная лодка под водой.
Тогда х - 320 - расстояние, которое подводная лодка над водой.

Известно по условию, что под водой лодка расстояние в 17 раз большее, чем над водой. Исходя из этого можем составить уравнение.
Уравнение:
х = 17(х-320)
Раскрываем скобки:
х = 17•х + 17•320
х = 17х - 5440
Переносим однородные члены с х в правую часть уравнения, а однородные члены без х в левую:
5440 = 17х - х
Или
17х - х = 5440
16х = 5440
х = 5440 : 16
х = 340 км - расстояние, которое подводная лодка под водой.

ответ: 340 км.

Проверка
1) 340 - 320 = 20 км - расстояние, пройденное подводной лодкой над водой.
2) 340 : 20 = 17 раз - во столько раз расстояние, пройденное подводной лодкой под водой больше, чем расстояние, пройденное над водой.
Все верно.
4,4(10 оценок)
Ответ:

Согласно условию задачи 40% одного из них равно  другого, соответственно 60% одного равно другому.


1%=0,01 ⇒ 60%=0,6


Примем за х - первое число, тогда согласно данным условия задачи

составим и решим уравнение:


x+0,6x=48

1,6x=48

x=48:1,6
x=30 - первое число.

0,6x=0,6·30=18 - второе число.


Примем за а - первое число и за b - второе число.

Исходя из данных условия задачи  (сумма двух чисел), a также по условию 40% одного из них равно  другого, получаем .

 

Cогласно этим данным составим и решим систему уравнений:

 

 

 

 

 

 /·3

 

умножаем на 3, для того чтобы избавиться от знаменателя в дроби

 

 

 Вроде бы так)

 

 

 - первое число.

 

 - второе число.

 

ответ: 18 и 30 - искомые числа.

4,7(51 оценок)
Новые ответы от MOGZ: Математика
logo
Вход Регистрация
Что ты хочешь узнать?
Спроси Mozg
Открыть лучший ответ