М
Молодежь
К
Компьютеры-и-электроника
Д
Дом-и-сад
С
Стиль-и-уход-за-собой
П
Праздники-и-традиции
Т
Транспорт
П
Путешествия
С
Семейная-жизнь
Ф
Философия-и-религия
Б
Без категории
М
Мир-работы
Х
Хобби-и-рукоделие
И
Искусство-и-развлечения
В
Взаимоотношения
З
Здоровье
К
Кулинария-и-гостеприимство
Ф
Финансы-и-бизнес
П
Питомцы-и-животные
О
Образование
О
Образование-и-коммуникации
vergos86slobode
vergos86slobode
15.05.2023 02:13 •  Математика

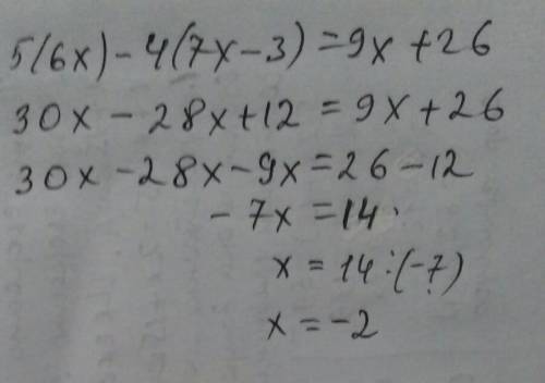
Реши уравнение 5(6x)-4(7x-3)=9x + 26

👇
Ответ:
Radmir5689
Radmir5689
15.05.2023

-2

Пошаговое объяснение:

5(6x)-4(7x-3)=9x + 26

30x-28x+12-9x-26=0

-7x=14

x=-2

4,4(34 оценок)
Ответ:
Andy01
Andy01
15.05.2023

....................


Реши уравнение 5(6x)-4(7x-3)=9x + 26
4,6(38 оценок)
Открыть все ответы
Ответ:
budarnyypetr
budarnyypetr
15.05.2023

То, что радиация оказывает пагубное влияние на здоровье человека, уже ни для кого не секрет. Когда радиоактивное излучение проходит через тело человека или же когда в организм попадают зараженные вещества, то энергия волн и частиц передается нашим тканям, а от них клеткам. В результате атомы и молекулы, составляющие организм, приходят в возбуждение, что ведёт к нарушению их деятельности и даже гибели. Все зависит от полученной дозы радиации, состояния здоровья человека и длительности воздействия.

Для ионизирующего излучения нет барьеров в организме, поэтому любая молекула может подвергнуться радиоактивному воздействию, последствия которого могут быть самыми разнообразными. Возбуждение отдельных атомов может привести к перерождению одних веществ в другие, вызвать биохимические сдвиги, генетические нарушения и т.п. Пораженными могут оказаться белки или жиры, жизненно необходимые для нормальной клеточной деятельности. Таким образом, радиация воздействует на организм на микроуровне, вызывая повреждения, которые заметны не сразу, а проявляют себя через долгие годы. Поражение отдельных групп белков, находящихся в клетке, может вызвать рак, а также генетические мутации, передающиеся через несколько поколений. Воздействие малых доз облучения обнаружить очень сложно, ведь эффект от этого проявляется через десятки лет.

4,7(41 оценок)
Ответ:
etyan00
etyan00
15.05.2023

Площадь пруда расчитывается по формуле площади прямоугольника: S = a * b и равна:

78 * 235 = 18330 кв. дм.

 

Для того, чтобы вычислить площадь парка при условии, что она в 5 раз больше площади пруда, нужно площадь пруда увеличить в 5 раз: 18330 * 5 = 91650 кв. дм

 

Для того, чтобы вычислить площадь парка при условии, что пруд занимает пятую часть парка, нужно понять, что она в 5 раз меньше площади парка. А, следовательно, площадь парка в 5 раз больше площади пруда. Соответственно, решается точно так же, как и в случае.

 

Третий случай аналогичен второму, т. е. 18330 * 5 = 91650 кв. дм

4,5(78 оценок)
Новые ответы от MOGZ: Математика
logo
Вход Регистрация
Что ты хочешь узнать?
Спроси Mozg
Открыть лучший ответ