

Несколько неравенств с одной переменной образуют систему неравенств, если нужно найти все такие значения переменной, каждое из которых является частным решением всех заданных неравенств.
Значение переменной, при котором каждое из неравенств системы обращается в верное числовое неравенство, называют частным решением системы неравенств.
Множество всех частных решений системы неравенств представляет собой общее решение системы неравенств.
Решить систему неравенств — значит найти все её частные решения.
Решение системы неравенств представляет собой пересечение решений неравенств, образующих систему.
НО ЭТО НЕ ТОЧНО!
Пошаговое объяснение:
5'54:5 = берём по одному, 5-5=0 ноль не пишем, так как не закончили пример. Дальше, берём тоже по одному 5-5=0 тут точно так же, ноль не пишем! Далее 0 пишем в частное, и четыре остаток
ответ первого примера: 110 (остаток 4)
9'32:3 = берём по три, пишем в частное, 9-9=0 ноль не пишем, спускаем 3, берём по одному пишем в частное, 3-3=0 ноль не пишем. На данный момент в частном у нас цифры: 31, пишем ноль, - 310
ответ второго примера: 310 (остаток 2)
5'83:4 = берём по одному пишем в частное, 5-4=1, один не делится на 4, так что спускаем 8 получается: 18, можем взять по 4, пишем в частное, 18-16=2, 2 не делится на 4, спускаем 3 получается: 23, берём по 5, 5×4=20, 23-20=3 остаток
ответ третьего примера: 145 (остаток 3)
4'89:4 = берём по 1, пишем 1 в частное, 4-4=0 ноль не пишем. Дальше, спускаем 8, берём по 2, пишем в частное, 8-8=0 не пишем 0, спускаем 9, берём по 2, пишем в частное 9-8=1 остаток
ответ четвёртого примера: 122 (остаток 1)
4'67:2 = берём по 2, пишем 2 в частное, 4-2=2, берём по одному, 2-2=0 не пишем его (0). Дальше спускаем 6, берём по 3, 6-6=0 его не пишем, не закончили пример. Далее спускаем 7 и можем взять по 3, 7-6=1 остаток
ответ пятого примера: 233 (остаток 1)
4'78:4 = берём по одному, пишем в частное 1, 4-4=0, спускаем 7 берём по одному, 7-4=3, три не делится на 4 так что спускаем 8, берём по 9, 38-36=3 остатка
ответ шестого примера: 119 (остаток 3)
6'38:3 = берём по 2, пишем в частное, 6-6=0, спускаем 3, берём по 1, 3-3=0, спускаем 8, берём по 2, 2×3=6, 8-6=2 остаток
ответ седьмого примера: 212 (остаток 2)
7'78:7 = берём по одному, пишем в частное, 7-7=0, спускаем 7, берём тоже по 1, пишем в частное, 7-7=0, спускаем 8, берём по одному, 8-7= 1 остаток
ответ восьмого примера: 111 (остаток 1)
не спускаем, а сносим. Простите
Надеюсь , если лень читать, посмотрите сразу ответ))
210; 2,8
Пошаговое объяснение:
а) -6*(73-108)
1. 73-108=-35
2. -6×(-35)=210
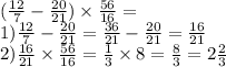
б) (12/7 - 20/21)*56\16
1. 12:7=1,7
2. 20:21=0,9
3. 1,7-0,9=0.8
4. 0,8×56=44,8
5. 44,8:16=2,8