М
Молодежь
К
Компьютеры-и-электроника
Д
Дом-и-сад
С
Стиль-и-уход-за-собой
П
Праздники-и-традиции
Т
Транспорт
П
Путешествия
С
Семейная-жизнь
Ф
Философия-и-религия
Б
Без категории
М
Мир-работы
Х
Хобби-и-рукоделие
И
Искусство-и-развлечения
В
Взаимоотношения
З
Здоровье
К
Кулинария-и-гостеприимство
Ф
Финансы-и-бизнес
П
Питомцы-и-животные
О
Образование
О
Образование-и-коммуникации
annbobrovska
annbobrovska
24.09.2020 05:01 •  Математика

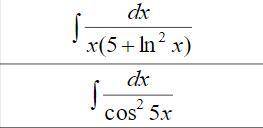
Неопределенный интеграл. 2 задачи решить у меня не получается дальнейшая информация на фото


Неопределенный интеграл. 2 задачи решить у меня не получается дальнейшая информация на фото

👇
Открыть все ответы
Ответ:
Леееера1
Леееера1
24.09.2020
Если из бревна выпиливать брус, то получися, что окружность описана вокруг прямоугольника. Записываем формулу для вычисления радиуса описанной вокруг прямоугольника окружности:
R= \frac{ \sqrt{a^{2} + b^{2} }}{2}

Т.к. стороны относятся как 2:1, то можно сделать вывод о том, что длина прямоугольника в 2 раза больше ширины. Тогда:
a=2b
S=a*b
2b*b=1000
b²=500
b=√500=±10√5

Длина (имеется в виду единица измерения) отрицательной не может быть, поэтому корень b=-10√5 исключаем.

Получаем:
b=10√5
a=2b=2*10√5=20√5

Теперь вычисляем радиус окружности:
R= \frac{ \sqrt{a^{2} + b^{2} }}{2} = \frac{ \sqrt{ (20 \sqrt{5} )^{2}+(10 \sqrt{5} )^2 } }{2} = \frac{ \sqrt{400*5+100*5} }{2}\frac{ \sqrt{2500} }{2} = 25 см

ответ: 25 см
4,5(41 оценок)
Ответ:
Yandarbieva1
Yandarbieva1
24.09.2020
Так как as=bs=8 и  bc=ac=17, то вершина пирамиды S лежит в вертикальной плоскости.Проведём вертикальную секущую плоскость через вершины S и С.
В сечении имеем треугольник SDC, где D - основание высоты из точки С равнобедренного треугольника АВС.
Находим стороны треугольника  SDC:
DC = √(17² - (1/2)4√7)²) = √(289 - 28) = √261 = 16.15549.
SD = √(8² - (1/2)4√7)²) = √(64 - 28) = √36 = 6.
Высота из вершины S является высотой пирамиды SО.
Находим её по формуле:
H= \frac{2 \sqrt{p(p-a)(p-b)(p-c)} }{a} .
Подставим значения:
          a                 b        c               p                         2p
16.155494        15        6       18.577747        37.15549442
и получаем высоту SО = 90 / √261 = 30 / √29 =  5.570860145.
Площадь основания пирамиды находим по формуле Герона:
  a      b         c                   p                     2p                    S
17    17    10.583005    22.291503    44.58300524       85.48684109.
Площадь основания можно выразить так:
 S = 85.48684109 = √7308 = 6√(7*29).
Тогда получаем объём пирамиды:
V = (1/3)S*H = (1/3)*(6√(7*29))*(30/√29) = 60/√7 = 22,67787 куб. ед.
4,6(86 оценок)
Это интересно:
Новые ответы от MOGZ: Математика
logo
Вход Регистрация
Что ты хочешь узнать?
Спроси Mozg
Открыть лучший ответ