М
Молодежь
К
Компьютеры-и-электроника
Д
Дом-и-сад
С
Стиль-и-уход-за-собой
П
Праздники-и-традиции
Т
Транспорт
П
Путешествия
С
Семейная-жизнь
Ф
Философия-и-религия
Б
Без категории
М
Мир-работы
Х
Хобби-и-рукоделие
И
Искусство-и-развлечения
В
Взаимоотношения
З
Здоровье
К
Кулинария-и-гостеприимство
Ф
Финансы-и-бизнес
П
Питомцы-и-животные
О
Образование
О
Образование-и-коммуникации
egorowasnezhana
egorowasnezhana
03.11.2021 05:12 •  Математика

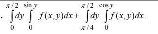
изменить порядок интегрирования в повторном интеграле


изменить порядок интегрирования в повторном интеграле

👇
Открыть все ответы
Ответ:
annavelikks03
annavelikks03
03.11.2021

ответ: 123456789 - девять чисел которые повторяются слева-направо и наоборот

эта последовательность начинается ею и повторяется н-раз

Следовательно мы можем разбить эту последовательность по три цифры

123    456   789   987   654   321   ,.

Теперь надо рассмотреть сумму чисел  в этих группах и мы увидим что

1+2+3=6(делится на 3)  4+5+6=15(делится на 3)  7+8+9=24(тоже делится на 3)

также и в обратную сторону

теперь мы получили что сумма всех чисел делится на три(так как разделённые части тоже делятся на 3)и это значит что данная последовательность делится на три как минимум

Пошаговое объяснение:

4,6(10 оценок)
Ответ:
Dinka2103
Dinka2103
03.11.2021
Нужно одновременно перевернуть первые и вторые песочные часы. Спустя 3 минуты (к этому времени в трехминутных часах перестанет сыпаться песок) "закинуть" яйца в кипящую воду. Оставшееся время будут отсчитывать вторые часы (семиминутные), так как три минуты они уже отсчитали вместе с первыми часами, им останется отсчитать четыре. То есть, требуемое время.
Краткая инструкция:
1) Одновременно перевернуть 3минутные и 7минутные часы.
2) Когда 3минутные часы перестанут отсчитывать время, опустить в кипящую воду яйца.
3) Когда 7минутные часы перестанут отсчитывать время, вынуть яйца из воды.

Приятного аппетита :D
4,7(11 оценок)
logo
Вход Регистрация
Что ты хочешь узнать?
Спроси Mozg
Открыть лучший ответ