М
Молодежь
К
Компьютеры-и-электроника
Д
Дом-и-сад
С
Стиль-и-уход-за-собой
П
Праздники-и-традиции
Т
Транспорт
П
Путешествия
С
Семейная-жизнь
Ф
Философия-и-религия
Б
Без категории
М
Мир-работы
Х
Хобби-и-рукоделие
И
Искусство-и-развлечения
В
Взаимоотношения
З
Здоровье
К
Кулинария-и-гостеприимство
Ф
Финансы-и-бизнес
П
Питомцы-и-животные
О
Образование
О
Образование-и-коммуникации
noname955
noname955
28.10.2022 15:39 •  Математика

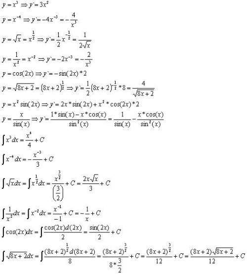
Нужно найти производные: 1. x^2*sin(2x) 2. x/sin(x)

👇
Ответ:
zoriy22
zoriy22
28.10.2022
Недавно решал похожие примеры
смотрите во вложении
4,5(79 оценок)
Ответ:
M1N1G4M3R1
M1N1G4M3R1
28.10.2022
1. 2x*sin2x+2cos2x*x^2
2.(1*sin(x)-cos(x)*x)/sin^2(x)
Нужно найти производные: 1. x^2*sin(2x) 2. x/sin(x)
4,4(7 оценок)
Открыть все ответы
Ответ:
GucciGang007
GucciGang007
28.10.2022

В последнее время в историческом сообществе наблюдается значительный интерес к изучению культурного наследия государств древнего востока. Наиболее сильный вклад в которое внесла древнеегипетская цивилизация. Основой знаний о ее культуре является изучение обрядовой и культовой части древнеегипетского наследия, как наиболее сохранившейся и игравшей главенствующую роль в древнеегипетском обществе. Культура древнего египта, а в частности ее религиозная и обрядовая составляющая оказала значительное влияние на другие восточные цивилизации, а также на египетский эллинизм птолемеев. Хоть ее основная составляющая, ее дух и суть была потеряна еще перед завоеванием египта Ахеменидами (на эту тему много еще Шпендлер писал), понимание культуры и обрядовой сущности может пригодиться при анализе культур более поздних эпох, что делает данную тему весьма актуальной для современной исторической мысли. вот такой вот абзац воды, пойдет тебе?

4,6(41 оценок)
Ответ:
КлубникО
КлубникО
28.10.2022

1.Точку пересечения диагоналей обозначим буквой H.
2. В ромбе диагонали точкой пересечения деляться пополам, т.е. диагональ AС разделелна на два равным отрезка AH и HC равные 6 см( т.к. 12:2=6).
И так-же диагональ BD разделена на два отрезка BH и HD, которые равны 8 см( т.к. 16:2=8).
3. Рассмотрим треугольник AHB. В нем: AH=6 См; BH=8 см. Площаль прямоугольного треугольника равна 1/2 произведения его катетов, значит:
S=(AH*BH)/2
S=48/2=24 кв.см
4. Таких треугольников у нас четыре. значит S(всего ромба)=24*4=96 кв.см
5. P=AB*4
Мы знаем, что по теореме пифагора:
AB в квадрате=BH  в квадрате + AH к квадрате
AB в квадрате = 36 + 64= 100
AB=10
P=10*4
P=40

 

Периметр - 40 см; Площадь - 96 кв. см 

4,8(29 оценок)
Это интересно:
Новые ответы от MOGZ: Математика
logo
Вход Регистрация
Что ты хочешь узнать?
Спроси Mozg
Открыть лучший ответ