М
Молодежь
К
Компьютеры-и-электроника
Д
Дом-и-сад
С
Стиль-и-уход-за-собой
П
Праздники-и-традиции
Т
Транспорт
П
Путешествия
С
Семейная-жизнь
Ф
Философия-и-религия
Б
Без категории
М
Мир-работы
Х
Хобби-и-рукоделие
И
Искусство-и-развлечения
В
Взаимоотношения
З
Здоровье
К
Кулинария-и-гостеприимство
Ф
Финансы-и-бизнес
П
Питомцы-и-животные
О
Образование
О
Образование-и-коммуникации
Vikzza
Vikzza
17.01.2022 23:28 •  Математика

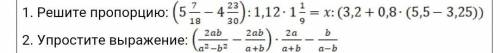
Задание на фото, задание 1​


Задание на фото, задание 1​

👇
Открыть все ответы
Ответ:
Для начала он не может брать гири тяжелее 50. Второй тут же выложит ровно столько, сколько потребно да заявленной разницы. Но и брать меньше 5 тоже нельзя, потому, что опять же ответный ход даст нужную для выигрыша разность. Приходится брать что-то средненькое. Но в ответ получаем дополнение до 55. И опять приходится брать что-то средненькое. И вся эта тягомотина продолжается до тех пор, пока кто-то (а получается, что кто-то - это ходящий первым) не выложит гирьку от 1 до 5 или от 51 до 55. И тогда Петя получает заветный выигрыш
4,7(84 оценок)
Ответ:
Юличка111333
Юличка111333
17.01.2022
Для начала он не может брать гири тяжелее 50. Второй тут же выложит ровно столько, сколько потребно да заявленной разницы. Но и брать меньше 5 тоже нельзя, потому, что опять же ответный ход даст нужную для выигрыша разность. Приходится брать что-то средненькое. Но в ответ получаем дополнение до 55. И опять приходится брать что-то средненькое. И вся эта тягомотина продолжается до тех пор, пока кто-то (а получается, что кто-то - это ходящий первым) не выложит гирьку от 1 до 5 или от 51 до 55. И тогда Петя получает заветный выигрыш
4,5(79 оценок)
Новые ответы от MOGZ: Математика
Полный доступ к MOGZ
Живи умнее Безлимитный доступ к MOGZ Оформи подписку
logo
Вход Регистрация
Что ты хочешь узнать?
Спроси Mozg
Открыть лучший ответ