М
Молодежь
К
Компьютеры-и-электроника
Д
Дом-и-сад
С
Стиль-и-уход-за-собой
П
Праздники-и-традиции
Т
Транспорт
П
Путешествия
С
Семейная-жизнь
Ф
Философия-и-религия
Б
Без категории
М
Мир-работы
Х
Хобби-и-рукоделие
И
Искусство-и-развлечения
В
Взаимоотношения
З
Здоровье
К
Кулинария-и-гостеприимство
Ф
Финансы-и-бизнес
П
Питомцы-и-животные
О
Образование
О
Образование-и-коммуникации
myka1
myka1
25.05.2023 09:02 •  Математика

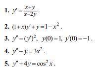
, требуется решить дифференциальные уравнения. Также нужно выполнить два условия, а именно: 1. определить тип ДУ (дифференциального уравнения); 2. если нет начальных условий, то найти общее решение (общий
интеграл) ДУ; если заданы начальные условия, то найти решение
задачи Коши.
ДУ - дифференциальное уравнение


, требуется решить дифференциальные уравнения. Также нужно выполнить два условия, а именно: 1. опред

👇
Открыть все ответы
Ответ:
shevchenkok1
shevchenkok1
25.05.2023
1)1/3 = 7/212/3 = 14/21Между 7/21 и 14/21 находятся следующие дроби:8/21; 9/21; 10/21; 11/21; 12/21; 13/21.Наименьшей дробью, у которой числитель кратен 3, является 9/21.9/21 = 3/7.ответ: 3/7. 2) 1/2 = 22/443/4 = 33/44Между 22/44 и 33/44 находятся следующие дроби:23/44; 24/44; 25/44; 26/44; 26/44; 28/44; 29/44; 30/44; 31/44; 32/44.Наименьшей дробью, у которой числитель кратен 4, является 24/44.24/44 = 6/11ответ: 6/11.
3)1/3 = 8/242/3 = 16/24Между 8/24 и 16/24 находятся следующие дроби:9/24; 10/24; 11/24; 12/24; 13/24; 14/24; 15/24.Наименьшей дробью, у которой числитель кратен 3, является 9/24.9/24 = 3/8ответ: 3/8.
4,5(50 оценок)
Ответ:
burcevamarina11
burcevamarina11
25.05.2023
Задача 1. 
1) 3/5 * 1/3 = 1/5  - часть мальчиков, которые играют в футбол
(сократили 3 в числителе одной дроби и 3 в знаменателе другой)
ответ: 1/5 часть всех детей лагеря играет в футбол.
Проверка. В летнем лагере 30 детей (целое).
1) 30 * 3/5 = 30 : 5 * 3 = 18 детей - мальчики (часть целого)
2) 18 * 1/3 = 18 : 3 = 6 мальчиков играют в футбол (часть мальчиков)
3) 6/30 = 1/5 - часть детей лагеря, которые играют в футбол
(дробь 6/30 сократили на 6)

Задача 2. Примем весь путь за единицу (целое)
1) 1 - 7/20 = 20/20 - 7/20 = 13/20 - оставшаяся часть пути;
2) 13/20 * 8/13 = 8/20 - часть пути, которую проделали путешественники во второй день;
3) 1 - (7/20 + 8/20) = 1 - 15/20 = 5/20 - часть пути, которую проделали путешественники в третий день;
4) 7/20 - 5/20 = 2/20 = 1/10 - часть пути, равная 36 км  
Находим целое по его части: 36 * 10 = 360 км - расстояние между городами.
ответ: 360 км.
Проверяем:
1) 360 * 7/20 = 360 : 20 * 7 = 126 км - в первый день;
2) 8/13 * (360 - 126) = 8/13 * 234 = 234 : 13 * 8 = 144 км - во второй день;
3) 360 * 5/20 = 360 : 20 * 5 = 90 км - в третий день;
126 + 144 + 90 = 360 км - расстояние между городами.
126 - 90 = 36 км - на столько меньше проехали в третий день, чем в первый. 
4,6(95 оценок)
Это интересно:
Новые ответы от MOGZ: Математика
logo
Вход Регистрация
Что ты хочешь узнать?
Спроси Mozg
Открыть лучший ответ