М
Молодежь
К
Компьютеры-и-электроника
Д
Дом-и-сад
С
Стиль-и-уход-за-собой
П
Праздники-и-традиции
Т
Транспорт
П
Путешествия
С
Семейная-жизнь
Ф
Философия-и-религия
Б
Без категории
М
Мир-работы
Х
Хобби-и-рукоделие
И
Искусство-и-развлечения
В
Взаимоотношения
З
Здоровье
К
Кулинария-и-гостеприимство
Ф
Финансы-и-бизнес
П
Питомцы-и-животные
О
Образование
О
Образование-и-коммуникации
Pulpy1235
Pulpy1235
18.01.2020 01:35 •  Математика

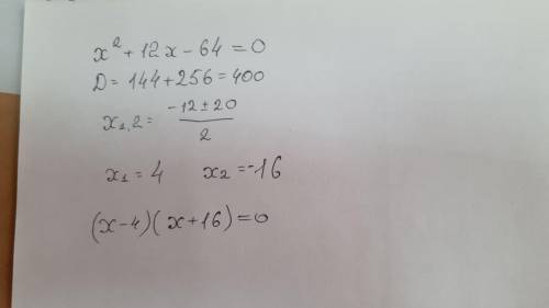
Розкладіть квадратнітричлени на множники x²+12x-64​

👇
Ответ:
small2005
small2005
18.01.2020

(х-4)(х+16)

Пошаговое объяснение:

Якщо x1 і x2 — корені квадратного тричлена ax2+bx+c, то правильною є тотожність ax2+bx+c=a(x−x1)(x−x2).


Розкладіть квадратнітричлени на множники x²+12x-64​
4,5(20 оценок)
Открыть все ответы
Ответ:
jolyy
jolyy
18.01.2020

12 см

Пошаговое объяснение:

По закону Паскаля сила давления жидкости зависит только от глубины и площади поверхности.

То есть, в данной точке аквариума вода одинаково давит на дно и на любую боковую стенку.

Поэтому фраза "чтобы сила давления воды на дно была меньше силы давления на все стенки в 2 раза" означает "чтобы площадь дна была в 2 раза меньше, чем площадь всех боковых стенок".

Длина аквариума 30 см, ширина 20 см, площадь 30*20=600 кв.см.

Высота воды h см, площадь боковых стенок равна

30h + 20h + 30h + 20h = 100h кв.см.

И по условию, эта площадь должна быть в 2 раза больше дна.

100h = 2*600 = 1200

h = 12 см

4,4(28 оценок)
Ответ:
golovko2006ovr6m1
golovko2006ovr6m1
18.01.2020
Решение:
Обозначим первоначальный вес Евгения за 100%,
Тогда за весну похудев на 20%,  Евгений стал весить:
100%-20%=80%
Поправившийся за лето на 30%,  вес Евгения составил:
80% + 80%*30% :100%=80% +24%=104%
Осенью похудевший Евгений на 20%, стал весить:
104% -104%*20% :100%=104% -20,8%=83,2%
За зиму Евгений поправился на 10% и стал весить:
83,2% +83,2%*10% :100%=83,2% +8,32%=91,52%
В итоге вес Евгения изменился в сторону похудения на:
100% -91,52%=8,48%

ответ: Евгений похудел по сравнению с первоначальным весом на 8,48%
4,5(82 оценок)
Новые ответы от MOGZ: Математика
logo
Вход Регистрация
Что ты хочешь узнать?
Спроси Mozg
Открыть лучший ответ