М
Молодежь
К
Компьютеры-и-электроника
Д
Дом-и-сад
С
Стиль-и-уход-за-собой
П
Праздники-и-традиции
Т
Транспорт
П
Путешествия
С
Семейная-жизнь
Ф
Философия-и-религия
Б
Без категории
М
Мир-работы
Х
Хобби-и-рукоделие
И
Искусство-и-развлечения
В
Взаимоотношения
З
Здоровье
К
Кулинария-и-гостеприимство
Ф
Финансы-и-бизнес
П
Питомцы-и-животные
О
Образование
О
Образование-и-коммуникации
MissVika2007
MissVika2007
16.04.2023 05:26 •  Математика

решить пример я
Математика 6 класс!


решить пример я Математика 6 класс!

👇
Ответ:
tanushkash05
tanushkash05
16.04.2023

Пошаговое объяснение:

вроде бы должно быть так


решить пример я Математика 6 класс!
4,4(10 оценок)
Ответ:
platonnikitos
platonnikitos
16.04.2023

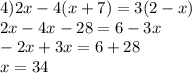
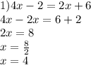
1)4x - 2 = 2x + 6 \\ 4x - 2x = 6 + 2 \\ 2x = 8 \\ x = \frac{8}{2} \\ x = 4

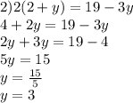
2)2(2 + y) = 19 - 3y \\ 4 +2y = 19 - 3y \\ 2y + 3y = 19 - 4 \\ 5 y = 15 \\ y = \frac{15}{5} \\ y = 3

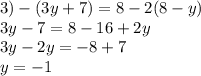
3) - (3y + 7) = 8 - 2(8 - y) \\ 3y - 7 = 8 - 16 + 2y \\ 3y - 2y = - 8 + 7 \\ y = - 1

4)2x - 4(x + 7) = 3(2 - x) \\ 2x - 4x - 28 =6 - 3x \\ - 2x + 3x = 6 + 28 \\ x = 34

5) - 1.26x - 3.58 = - 1.74 - 6.46 \\ - 1.26x = - 8.2 + 3.58 \\ - 1.26x = - 4.62 \\ x = \frac{ - 4.62}{ - 1.26} \\ x = \frac{11}{3} \\ x = 3.6

4,4(60 оценок)
Открыть все ответы
Ответ:
Апрепр
Апрепр
16.04.2023
Треугольники могут быть двух "типов" - со стороной лежащей на одной прямой, и со стороной, лежащей на другой прямой. на одной прямой выбрать 2 точки для стороны треугольника можно    способами, на другой  способами. если сторона треугольника (две вершины)  лежит на первой прямой, то третья вершина может лежать в одной из 5 точек на другой прямой. таких треугольников всего 28*5 = 140. если сторона треугольника (две вершины)  лежит на второй  прямой, то третья вершина может лежать в одной из 8 точек на первой прямой. таких треугольников всего 10*8 = 80. всего треугольников может быть 140+80 = 220.
4,4(74 оценок)
Ответ:
Shkolnik12345678910
Shkolnik12345678910
16.04.2023
Треугольники могут быть двух "типов" - со стороной лежащей на одной прямой, и со стороной, лежащей на другой прямой. на одной прямой выбрать 2 точки для стороны треугольника можно    способами, на другой  способами. если сторона треугольника (две вершины)  лежит на первой прямой, то третья вершина может лежать в одной из 5 точек на другой прямой. таких треугольников всего 28*5 = 140. если сторона треугольника (две вершины)  лежит на второй  прямой, то третья вершина может лежать в одной из 8 точек на первой прямой. таких треугольников всего 10*8 = 80. всего треугольников может быть 140+80 = 220.
4,8(81 оценок)
Это интересно:
Новые ответы от MOGZ: Математика
logo
Вход Регистрация
Что ты хочешь узнать?
Спроси Mozg
Открыть лучший ответ