М
Молодежь
К
Компьютеры-и-электроника
Д
Дом-и-сад
С
Стиль-и-уход-за-собой
П
Праздники-и-традиции
Т
Транспорт
П
Путешествия
С
Семейная-жизнь
Ф
Философия-и-религия
Б
Без категории
М
Мир-работы
Х
Хобби-и-рукоделие
И
Искусство-и-развлечения
В
Взаимоотношения
З
Здоровье
К
Кулинария-и-гостеприимство
Ф
Финансы-и-бизнес
П
Питомцы-и-животные
О
Образование
О
Образование-и-коммуникации
sashunyakotova
sashunyakotova
19.12.2020 16:28 •  Математика

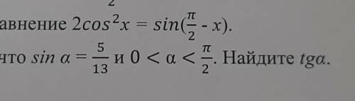
1. Решите уравнение
2. Известно что


1. Решите уравнение 2. Известно что ​

👇
Открыть все ответы
Ответ:
ByGaTiVlAdLeN
ByGaTiVlAdLeN
19.12.2020
1)9-6=3(к)-на 3 карандаша больше                                                                      3 карандаша-24 рубля                                                                                      2)24:3=8(р)-1 карандаш                                                                                    3)8*6=48(р)-первый мальчик                                                                              4)8*9=72(р)                                                                                                        ответ:48 рублей заплатил первый мальчик,72 рубля второй мальчик.
4,7(64 оценок)
Ответ:
goida82
goida82
19.12.2020
длиннее, но проще для понимания):
Очевидно, что каждые пять минут в очередь влезало то же количество человек, что и стояло, минус один человек. Например, если вначале стояло 3 человека, через пять минут в очередь влезло ещё 2, стало 5, через пять минут влезло ещё 4, стало 9, и т. д. Тогда, чтобы узнать, сколько человек стояло пять минут назад, нужно произвести обратное действие: к количеству человек прибавляем 1, результат делим на два. Например в очереди 9 человек, чтобы узнать, сколько было пять минут назад, делаем расчёты: (9+1):2=5. Теперь решаем по условию задачи. В условии сказано, что минут, значит "влезаний" (5*5=25, следующих 5 минут ещё не Выполняем расчёты:
1) (129+1):2=65 - через 20 минут
2) (65+1):2=33 - через 15 минут
3) (33+1):2=17 - через 10 минут
4) (17+1):2=9 - через 5 минут
5) (9+1):2=5 - вначале.
Итак, вначале стояло 5 человек.
ответ: 5 человек было в 1-й очереди.

быстрее, но сложнее):
Анализируя условия задания, найдём закономерность увеличения количества людей в очереди. Пусть вначале было n человек, тогда через пять минут их будет 2n-1, тогда ещё через пять минут их будет 2(2n-1)-1=4n-3, и т. д. То есть, закономерность следующая:
S=n*2^{m}-(2^{m}-1)=n*2^{m}-2^{m}+1=2^{m}(n-1)+1, где S - количество людей в очереди на данный момент, m - количество "влезаний", n - первоначальное количество людей.
По условию задачи S=129, m=5. Тогда найдём n:
129=2⁵(n-1)+1,
129=32(n-1)+1,
129=32n-32+1,
129=32n-31,
129+31=32n,
160=32n,
n=160:5,
n=5.
Значит первоначально стояло 5 человек.
ответ: 5 человек было в 1-й очереди.
4,7(71 оценок)
Это интересно:
Новые ответы от MOGZ: Математика
logo
Вход Регистрация
Что ты хочешь узнать?
Спроси Mozg
Открыть лучший ответ