М
Молодежь
К
Компьютеры-и-электроника
Д
Дом-и-сад
С
Стиль-и-уход-за-собой
П
Праздники-и-традиции
Т
Транспорт
П
Путешествия
С
Семейная-жизнь
Ф
Философия-и-религия
Б
Без категории
М
Мир-работы
Х
Хобби-и-рукоделие
И
Искусство-и-развлечения
В
Взаимоотношения
З
Здоровье
К
Кулинария-и-гостеприимство
Ф
Финансы-и-бизнес
П
Питомцы-и-животные
О
Образование
О
Образование-и-коммуникации
Nanaw45
Nanaw45
18.05.2020 04:14 •  Математика

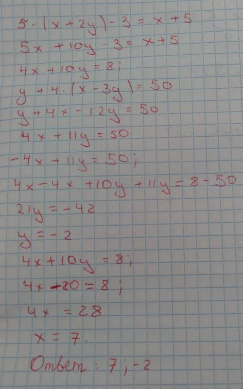
5(x+2y)-3=x+5k
y+4(x-3y)=50​

👇
Ответ:
альбина330
альбина330
18.05.2020

ответ-7;-2

закрепила фото там решения


5(x+2y)-3=x+5ky+4(x-3y)=50​
4,6(16 оценок)
Открыть все ответы
Ответ:
ITyanI
ITyanI
18.05.2020
log_((25-x^2)/16)((24+2x-x^2)/14)>1
ОДЗ: (25-x^2)/16>0; (25-x^2)/16≠1
          x^2-9=0
          x^2=9
          x₁=3; x₂=-3
             x∈(-3;3)
           24+2x-x^2>0
           x^2-2x-24=0
           x₁+x₂=2
           x₁*x₂=-24
           x₁=6; x₂=-4
               x∈(-4;6)
log_((25-x^2)/16)((24+2x-x^2)/14)=log_((25-x62)/16)((25-x^2)/16)
((-x^2+2x+24)/14)/((25-x^2)/16)=1
((-x^2+2x+24)/14)*(16/(25-x^2))=1
-16x^2+32x+384=350-14x^2
-2x^2+32x+34=0
x^2-16x-17=0
x₁+x₂=16
x₁*x₂=-17
x₁=17 - лишний корень, не входит в ОДЗ
x₂=-1
   x>-1
     ответ: х∈(-4;-3)∪(-1;3)
Оригинал задания - во вложении

   

        
         
Решите неравенство: log((25-x^2)/16) (24+2x-x^2)/14> 1
4,8(11 оценок)
Ответ:
Leonarda11
Leonarda11
18.05.2020
Х - длина прыжка собаки 
2х/3 - длина прыжка зайца 
Выразим 15 заячьих прыжков через количество собачьих прыжков
15 : 3 * 2 = 10 прыжков собаки
10х -  начальное расстояние между собакой и зайцем  
По условию за одинаковый промежуток времени собака делает 5 прыжков, а заяц - 6, поэтому удобно будет это время  обозначить как  1 единицу времени 
Тогда 
5х - скорость собаки
6 * 2х/3 = 4х - скорость собаки
5х - 4х = х  - скорость сближения
А теперь делим расстояние 10х на скорость сближения х, получаем время, за которое собака догонит зайца 
10х : х = 10 единиц времени 
За 1 единицу времени собака делает 5 прыжков
5 * 10 = 50 прыжков сделает собака за 10 единиц времени и догонит зайца
ответ: 50 прыжков
4,8(8 оценок)
Это интересно:
Новые ответы от MOGZ: Математика
logo
Вход Регистрация
Что ты хочешь узнать?
Спроси Mozg
Открыть лучший ответ