М
Молодежь
К
Компьютеры-и-электроника
Д
Дом-и-сад
С
Стиль-и-уход-за-собой
П
Праздники-и-традиции
Т
Транспорт
П
Путешествия
С
Семейная-жизнь
Ф
Философия-и-религия
Б
Без категории
М
Мир-работы
Х
Хобби-и-рукоделие
И
Искусство-и-развлечения
В
Взаимоотношения
З
Здоровье
К
Кулинария-и-гостеприимство
Ф
Финансы-и-бизнес
П
Питомцы-и-животные
О
Образование
О
Образование-и-коммуникации
kazorinJeka
kazorinJeka
17.07.2020 13:28 •  Математика

На кормление 10 овец и 15 коров отпускали ежедневно 178 кг сена. Сколько сена ежедневно выдавали каждой овце и каждой корове, если известно, что 5 овец получали сена на 3 кг меньшее, чем 4 коровы?

👇
Ответ:
кококо23
кококо23
17.07.2020

Пошаговое объяснение:

пусть овце выдавали х кг

а корове у кг сена

тогда

пойдем по условию задачи

"На кормление 10 овец и 15 коров отпускали ежедневно 178 кг сена"

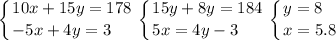
10х +15у = 178 - это первое уравнене системы

"5 овец получали сена на 3 кг меньшее, чем 4 коровы"

4у - 5х =3  - это второе уравнение системы

при решении системы второе умножим на 2 и прибавим к первому

\displaystyle \left \{ {{10x+15y=178} \atop {-5x+4y=3\hfill}} \right. \left \{ {{15y+8y=184} \atop {5x=4y-3\hfill}} \right. \left \{ {{y=8\hfill} \atop {x=5.8}} \right.

ответ

каждой овце выдавали 5,8 кг сена

каждой корове выдавали 8 кг сена

4,6(87 оценок)
Открыть все ответы
Ответ:
Boi11
Boi11
17.07.2020

25hjoerf10

главный мозг

4.9 тыс. ответов

11.4 млн пользователей, получивших

180° - 90° - 30° = 60°

180° - 90° - 42° = 48°

30° + 42° = 72° 

Проверка:

60° + 48° + 72° = 180°

ответ: 60°; 48°; 72°.

б) 

1) Если угол при вершине равнобедренного треугольника равен 68°,

то углы при основании равны:

(180° - 68°) : 2 = 56°.

Получаем следующие углы: 68°; 56°; 56°.

Если угол при основании равен 68°,

то угол при вершине равен:

180° - 68° * 2 = 44°

Поучаем углы: 44°; 68°; 68°.

2) Градусная мера угла в 136° > 90°, значит данная величина может быть только у угла при вершине равнобедренного треугольника.

Найдем углы при основании:

(180° - 136°) : 2 = 22°

Поучаем углы: 136°; 22°; 22°.

3) Градусная мера угла в 100° > 90°, значит данная величина может быть только у угла при вершине равнобедренного треугольника.

Найдем углы при основании:

(180° - 100°) : 2 = 40°

Поучаем углы: 100°; 40°; 40°.

4,8(14 оценок)
Ответ:
sabinakalisheva
sabinakalisheva
17.07.2020

1.7+5,23=12,23     (2)

29,8-8=21,8          (3)

16,6/0,2=83          (4)

7,5 * 0,4=3            (2)

Найдите   15%   от   800.

15%=0,15

800*0,15=120    (2)

6.  Среди чисел    0,0072     0,013     0,009     0,0017     укажите наименьшее.

4) 0,0017.

7.  Выполни действия  81517- 21417+ 1917=62017

8.  Найдите корень уравнения:  25х + 49 = 149

25х=149-49

25х=100

х=100/25=4     2) 4

9.

(40,4+2)*4+(40,4-2)*3=153,6+115,2=268,8км

ответ: 268,8км

10.

70:2=35градусов

ответ:35 градусов

11.

9;4

Удачи

Надеюсь поставишь:ЛУЧШИЙ ОТВЕТ!

Пошаговое объяснение:

4,7(35 оценок)
Это интересно:
Новые ответы от MOGZ: Математика
logo
Вход Регистрация
Что ты хочешь узнать?
Спроси Mozg
Открыть лучший ответ