М
Молодежь
К
Компьютеры-и-электроника
Д
Дом-и-сад
С
Стиль-и-уход-за-собой
П
Праздники-и-традиции
Т
Транспорт
П
Путешествия
С
Семейная-жизнь
Ф
Философия-и-религия
Б
Без категории
М
Мир-работы
Х
Хобби-и-рукоделие
И
Искусство-и-развлечения
В
Взаимоотношения
З
Здоровье
К
Кулинария-и-гостеприимство
Ф
Финансы-и-бизнес
П
Питомцы-и-животные
О
Образование
О
Образование-и-коммуникации
UTOYKA228
UTOYKA228
12.11.2021 21:39 •  Математика

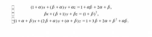
Решите систему уравнений методом обратной матрицы, методом Крамера и методом Гаусса​


Решите систему уравнений методом обратной матрицы, методом Крамера и методом Гаусса​

👇
Открыть все ответы
Ответ:
Ta4er11
Ta4er11
12.11.2021
НОК — это наименьшее общее кратное.                                                        НОД — это наибольший общий делитель.

Определения:

Наибольшим общим делителем чисел a и b называется наибольшее число, на которое a и b делятся без остатка.Наименьшее общее кратное (НОК) двух целых чисел m и n есть наименьшее натуральное число, которое делится на m и n без остатка

Свойства наименьшего общего кратного:

НОК(a, b) = НОК(b, a)

НОД(a, b) = НОД(-a, b)

НОД(a, b) = НОД(|a|,|b|)

НОК(a, НОК(b, с)) = НОК(НОК(a, b), c)

 Свойства наибольшего общего делителя:

НОД(a, b) = НОД(b, a)

НОД(a, b) = НОД(-a, b)

НОД(a, b) = НОД(|a|,|b|)

НОД(a, 0) = |a|

НОД(a, к • a) = |a|, при любом к ∈ Z

НОД(a, НОД(b, с)) = НОД(НОД(a, b), c)

4,7(23 оценок)
Ответ:
Otto111
Otto111
12.11.2021
1). НОД - наибольший общий делитель двух или нескольких чисел, то есть такое число, на которое делится каждое из двух (или нескольких) рассматриваемых. Например, числа 12 и 15. И первое (12) и второе (15) делятся на 3. 12:3 = 4; 15:3 = 5. Значит НОД (12; 15) = 3; 2) рассмотрим НОК тех же чисел. НОК - это наименьшее общее кратное двух (или нескольких) чисел, то есть такое число, которое само делится на каждое из двух рассматриваемых чисел. Кратных чисел очень много, но наименьшее из них - одно. Это число 60. Проверим: 60:12 = 5; и 60:15 = 4; поэтому НОК (12;15) = 60; Как их находить? Ну, это уже другой вопрос. Успеха Вам и "питёрки"!
4,5(40 оценок)
Это интересно:
Новые ответы от MOGZ: Математика
logo
Вход Регистрация
Что ты хочешь узнать?
Спроси Mozg
Открыть лучший ответ