М
Молодежь
К
Компьютеры-и-электроника
Д
Дом-и-сад
С
Стиль-и-уход-за-собой
П
Праздники-и-традиции
Т
Транспорт
П
Путешествия
С
Семейная-жизнь
Ф
Философия-и-религия
Б
Без категории
М
Мир-работы
Х
Хобби-и-рукоделие
И
Искусство-и-развлечения
В
Взаимоотношения
З
Здоровье
К
Кулинария-и-гостеприимство
Ф
Финансы-и-бизнес
П
Питомцы-и-животные
О
Образование
О
Образование-и-коммуникации
макс3033
макс3033
14.12.2022 09:41 •  Математика

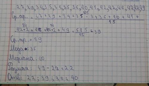
1) В кафе «Пицца» в течение 15 дней фиксировалось количество заказов с доставкой на дом. Получили такой ряд данных:
41,35, 47, 27, 35, 56, 42, 33, 36, 35, 42, 46, 47, 34, 29.
Найдите размах, среднее арифметическое, моду и медиану полученного ряда,
[5]
ответ:
размах ряда данных;
среднее арифметическое
Мода
Медиана нужно ​

👇
Ответ:
ленура21
ленура21
14.12.2022

5

Пошаговое объяснение:

4,5(64 оценок)
Ответ:
lisniczova
lisniczova
14.12.2022

На фото


1) В кафе «Пицца» в течение 15 дней фиксировалось количество заказов с доставкой на дом. Получили та
4,4(99 оценок)
Открыть все ответы
Ответ:
anastaiyaersho
anastaiyaersho
14.12.2022
Пусть х - ширина бассейна, тогда 5х - длина бассейна. По условию задачи длина бассейна на 200 метров больше ширины.
То есть 5х-х=200.
                4х=200
                х=200:4
                 х=50 метров ширина бассейна.
5х=5*50=250 метров длина бассейна.
Площадь бассейна равна 50*250=12500 м² - площадь бассейна.
Площадь керамической плитки равна 0,2 м*0,2 м=0,04 м².
Теперь количество плиток вычислим разделив площадь бассейна на площадь плитки. 
12500:0,04=312500 плиток понадобится.

ответ: 312500 плиток потребуется, чтобы покрыть дно бассейна.
4,6(45 оценок)
Ответ:
klimenkol21
klimenkol21
14.12.2022
Х=5У 
У=Х-200 
Х=5Х-1000 
4Х=1000 
Х=250м 
У=50м 

S=ХУ=50*250=12 500м^2 
S1=0.2*0.2=0.04м^2 
S/S1=312 500

ЕСЛИ БЕЗ "Х" ТО:
Дано: длина (стрелочкой) - в 5 раз больше ширины, длина (другой стрелочкой) - на 200 м больше ширины. Определить площадь. Решение. 1) примем ширину за 1 (единицу), тогда длина равна 5 единиц; 2) на сколько "единиц" длина больше ширины? 5 - 1 = 4. На 4 единицы. 2) Найдем значение одной "единицы", зная, что 4 "единицы" составляют 200 м (потому что на 200 м. больше): 200:4 = 50 (м). 3) Так как ширина равна 1 "единице", то она равна 50 м. 4) По условию задачи известно, что длина в 5 раз больше ширины, поэтому ставим вопрос: какова длина бассейна? 5 * 50 = 250 (м). 5)Далее считаем площадь бассейна и площадь 1 плитки (но все заранее переводим в дм. потому что дети еще не проходили, дробные числа) и находим кол-во плиток, либо считаем сколько плиток в ряду по длине и в ряду по ширине и перемножаем.
4,7(25 оценок)
Новые ответы от MOGZ: Математика
logo
Вход Регистрация
Что ты хочешь узнать?
Спроси Mozg
Открыть лучший ответ