М
Молодежь
К
Компьютеры-и-электроника
Д
Дом-и-сад
С
Стиль-и-уход-за-собой
П
Праздники-и-традиции
Т
Транспорт
П
Путешествия
С
Семейная-жизнь
Ф
Философия-и-религия
Б
Без категории
М
Мир-работы
Х
Хобби-и-рукоделие
И
Искусство-и-развлечения
В
Взаимоотношения
З
Здоровье
К
Кулинария-и-гостеприимство
Ф
Финансы-и-бизнес
П
Питомцы-и-животные
О
Образование
О
Образование-и-коммуникации
ladyL6667
ladyL6667
30.12.2020 07:11 •  Математика

И еще второй столбик в профиле ​


И еще второй столбик в профиле ​

👇
Ответ:
RonnieHolmes
RonnieHolmes
30.12.2020

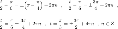
1)\ \ sin\dfrac{2t}{3}=1\ \ ,\\\\\\\dfrac{2t}{3}=\dfrac{\pi }{2}+2\pi n\ ,\ n\in Z\ \ ,\ \ 2t=\dfrac{3\pi}{2}+6\pi n\ ,\ \ t=\dfrac{3\pi }{4}+3\pi n\ ,\ n\in Z\\\\\\2)\ \ 2cos\Big(\dfrac{t}{2}-\dfrac{\pi}{6}\Big)=-\sqrt2\ \ ,\ \ \ \ cos\Big(\dfrac{t}{2}-\dfrac{\pi}{6}\Big)=-\dfrac{\sqrt2}{2}\ \ ,\\\\\dfrac{t}{2}-\dfrac{\pi}{6}=\pm arccos\Big(-\dfrac{\sqrt2}{2}\Big)+2\pi n\ \ ,\ \ \dfrac{t}{2}-\dfrac{\pi}{6}=\pm \Big(\pi -arccos\dfrac{\sqrt2}{2}\Big)+2\pi n\ \ ,

\dfrac{t}{2}-\dfrac{\pi}{6}=\pm \Big(\pi -\dfrac{\pi}{4}\Big)+2\pi n\ \ ,\ \ \ \dfrac{t}{2}-\dfrac{\pi}{6}=\pm \dfrac{3\pi}{4}+2\pi n\ \ ,\\\\\\\dfrac{t}{2}=\dfrac{\pi}{6}\pm \dfrac{3\pi}{4}+2\pi n\ \ ,\ \ t=\dfrac{\pi}{3}=\pm \dfrac{3\pi}{2}+4\pi n\ \ ,\ n\in Z

3)\ \ \dfrac{2sint+\sqrt3}{2cost-1}=0\ \ \ \Rightarrow \ \ \ \left\{\begin{array}{l}2sint+\sqrt3=0\\2cost-1\ne 0\end{array}\right\ \ \left\{\begin{array}{l}sint=-\dfrac{\sqrt3}{2}\\cost\ne \dfrac{1}{2}\end{array}\right

\left\{\begin{array}{l}t=(-1)^{n}\cdot \Big(-\dfrac{\pi}{3}\Big)+\pi n\ ,\ n\in Z\\t\ne \pm \dfrac{\pi}{3}+2\pi k\ ,\ k\in Z\end{array}\right\ \ \left\{\begin{array}{l}t=(-1)^{n+1}\cdot \dfrac{\pi}{3}+\pi n\ ,\ n\in Z\\t\ne \pm \dfrac{\pi}{3}+2\pi k\ ,\ k\in Z\end{array}\right

{}\ \Rightarrow \ \ \ \ t=-\dfrac{2\pi }{3}+2\pi n\ ,\ n\in Z

4)\ \ \dfrac{2cost-\sqrt2}{2sint+\sqrt2}=0\ \ \Rightarrow \ \ \left\{\begin{array}{l}2cost-\sqrt2=0\\2sint+\sqrt2\ne 0\end{array}\right\ \ \left\{\begin{array}{l}cost=\dfrac{\sqrt2}{2}\\sint\ne -\dfrac{\sqrt2}{2}\end{array}\right

\left\{\begin{array}{l}t=\pm arccos\dfrac{\sqrt2}{2}+2\pi n\ ,\ n\in Z\\t\ne (-1)^{k}arcsin(-\dfrac{\sqrt2}{2})+\pi k\ ,\ k\in Z\end{array}\right\ \ \left\{\begin{array}{l}t=\pm \dfrac{\pi }{4}+2\pi n\ ,\ n\in Z\\t\ne (-1)^{k+1}\cdot \dfrac{\pi}{4}+\pi k\ ,\ k\in Z\end{array}\right\\\\\\{}\Rightarrow \ \ t=\dfrac{\pi}{4}+2\pi n\ ,\ n\in Z


И еще второй столбик в профиле ​
И еще второй столбик в профиле ​
И еще второй столбик в профиле ​
И еще второй столбик в профиле ​
4,8(24 оценок)
Открыть все ответы
Ответ:
FairTail
FairTail
30.12.2020
1. 1/3 часть, то есть 1-это числитель, а 3 - знаменатель. В числителе указывается количество взятых долей, а в знаменателе - на сколько долей может быть разделена единица.

2. 1/20 часть. Вычисляется так же как и первое. 1 здесь является числителем, а 20 знаменателем.

3. Динара - 15 сек
Данияр -12 сек

Путь 1, у Динары 1/15, а у Данияра 1/12. Из дробей с одинаковым числителем больше та дробь, у которой знаменатель меньше. В данном случае знаменатель меньше у Данияра. Следовательно, у Данияра скорость больше.
4,6(93 оценок)
Ответ:
egorcop
egorcop
30.12.2020
Десять самых масштабных наводнений в России :
В конце лета 2013 года на Дальний Восток обрушился мощный паводок, который привел к самому масштабному наводнению за последние 115 лет. Наводнение охватило пять субъектов Дальневосточного федерального округа, общая площадь затопленных территорий составила более 8 миллионов квадратных километров. Всего с начала паводка было подтоплено 37 муниципальных районов, 235 населенных пунктов и более 13 тысяч жилых домов. Пострадало свыше 100 тысяч человек. Более 23 тысяч человек были эвакуированы. Наиболее пострадали Амурская область, первой принявшая удар стихии, Еврейская автономная область и Хабаровский край.
В ночь на 7 июля 2012 года паводок затопил тысячи жилых домов в городах Геленджик, Крымск и Новороссийск, а также в ряде поселков Краснодарского края. Были нарушены системы энерго-, газо- и водоснабжения, автомобильное и железнодорожное движение. По данным прокуратуры, погибли 168 человек, еще двое пропали без вести. Большинство погибших — в Крымске, на который пришелся самый сильный удар стихии. В этом городе погибли 153 человека, более 60 тысяч человек были признаны пострадавшими. Полностью разрушенными признаны в Крымском районе 1,69 тысячи домов. Было повреждено около 6,1 тысячи домов. Ущерб от наводнения составил около 20 миллиардов рублей.
В апреле 2004 года в Кемеровской области произошел паводок из-за поднятия уровня местных рек Кондома, Томь и их притоков. Разрушению подверглись более шести тысяч домов, 10 тысяч человек пострадали, девять погибли. В городе Таштагол, находящемся в зоне паводка, и ближайших к нему поселках паводковыми водами были разрушены 37 пешеходных мостов, пострадало 80 километров областных и 20 километров муниципальных дорог. Стихия нарушила также телефонную связь.
Ущерб, по оценкам экспертов, составил 700-750 миллионов рублей.
В августе 2002 года в Краснодарском крае быстротечный смерч и ливневые дожди. В Новороссийске, Анапе, Крымске и 15 других населенных пунктах региона в зону затопления попали свыше 7 тысяч жилых домов и административных зданий. Также стихией было повреждено 83 объекта ЖКХ, 20 мостов, 87,5 километра автомобильных дорог, 45 водозаборов и 19 трансформаторных подстанций. 424 жилых дома были разрушены полностью. Погибло 59 человек. Силами МЧС из опасных зон были эвакуированы 2,37 тысяч человек.
В июне 2002 года катастрофическому наводнению в результате ливневых дождей подверглись 9 субъектов Южного федерального округа. В зоне затопления оказались 377 населенных пунктов. Стихией было разрушено 13,34 тысяч домов, повреждено почти 40 тысяч жилых зданий и 445 учебных учреждений. Стихия унесла жизни 114 человек, еще 335 тысяч человек пострадали. Специалисты МЧС, других министерств и ведомств в общей сложности 62 тысячи человек, еще свыше 106 тысяч жителей ЮФО были эвакуированы из опасных зон. Ущерб составил 16 миллиардов рублей.
7 июля 2001 года в Иркутской области из-за сильных дождей ряд рек вышел из берегов и подтопил семь городов и 13 районов (всего 63 населенных пункта). Особенно пострадал Саянск. По официальным данным, погибло восемь человек, пострадали 300 тысяч человек, было затоплено 4,64 тысяч домов.
В мае 2001 года уровень воды в реке Лене превысил максимум половодья и достиг отметки в 20 метров. Уже в первые дни после катастрофического наводнения было затоплено 98% территории города Ленск. Наводнение практически смыло Ленск с лица земли. Было разрушено более 3,3 тысячи домов, пострадали 30,8 тысячи человек. Всего в Якутии в результате наводнения пострадало 59 населенных пунктов, подтоплено 5,2 тысячи жилых домов. Общий объем ущерба составил 7,08 миллиарда рублей, в том числе по городу Ленску – 6,2 миллиарда рублей.
16 и 17 мая 1998 года в районе города Ленска Якутии произошло сильное наводнение. Его вызвал затор льда по нижнему течению реки Лены, в результате которого уровень воды повысился до 17 метров, при критическом уровне затопления города Ленска 13,5 метров. В зоне затопления оказались более 172 населенных пунктов с населением 475 тысяч человек. Из зоны затопления было эвакуировано более 50 тысяч человек. В результате наводнения погибли 15 человек. Ущерб от наводнения составил 872,5 миллиона рублей.
В августе 1993 года в Бурятии сильное наводнение на реке Селенге повлекло за собой затопление 30 тысяч гектаров сельскохозяйственных угодий, 10 тысяч приусадебных и дачных участков, около 6 тысяч домов.
В июне 1993 года произошел прорыв глухой земляной плотины Киселевского водохранилища вблизи города Серова Свердловской области. От наводнения пострадало 6,5 тысячи человек, 15 человек погибло. Общий материальный ущерб составил 63 миллиарда рублей удалось эвакуировать 3 тысячи 700 человек, снять с крыш затопленных домов около 300 человек.
4,6(53 оценок)
Это интересно:
Новые ответы от MOGZ: Математика
Полный доступ к MOGZ
Живи умнее Безлимитный доступ к MOGZ Оформи подписку
logo
Вход Регистрация
Что ты хочешь узнать?
Спроси Mozg
Открыть лучший ответ