М
Молодежь
К
Компьютеры-и-электроника
Д
Дом-и-сад
С
Стиль-и-уход-за-собой
П
Праздники-и-традиции
Т
Транспорт
П
Путешествия
С
Семейная-жизнь
Ф
Философия-и-религия
Б
Без категории
М
Мир-работы
Х
Хобби-и-рукоделие
И
Искусство-и-развлечения
В
Взаимоотношения
З
Здоровье
К
Кулинария-и-гостеприимство
Ф
Финансы-и-бизнес
П
Питомцы-и-животные
О
Образование
О
Образование-и-коммуникации
lep111
lep111
24.05.2022 23:00 •  Математика

ЭТО СОЧ
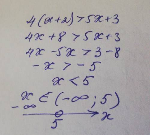
Решите неравенство:
4 ( х + 2 ) > 5х + 3. ​

👇
Ответ:
AraEv
AraEv
24.05.2022

как-то так, очень надеюсь, что


ЭТО СОЧ Решите неравенство:4 ( х + 2 ) > 5х + 3. ​
4,8(30 оценок)
Ответ:
MCKiri4PrO
MCKiri4PrO
24.05.2022

Смотри решение на фото


ЭТО СОЧ Решите неравенство:4 ( х + 2 ) > 5х + 3. ​
4,8(34 оценок)
Открыть все ответы
Ответ:
alex06062
alex06062
24.05.2022

465 км - расстояние между автобусом и автомобилем.

Пошаговое объяснение:

Найдем расстояние, которое проехал автомобиль, для этого скорость автомобиля умножим на время:

90 * 3 = 270 км - расстояние, которое проехал автомобиль.

Найдем расстояние, которое проехал автобус, для этого скорость автобуса умножим на его время:

65 * 3 = 195 км - расстояние, которое проехал автобус.

Найдем расстояние, которое будет между автомобилем и автобусом через три часа, для этого сложим расстояние автомобиля и расстояние автобуса:

270 + 195 = 465 км - расстояние между автобусом и автомобилем.

4,8(49 оценок)
Ответ:
robertsolovev39
robertsolovev39
24.05.2022

Пошаговое объяснение:1) f(x)= 2x²-3x+1 , [-1;1] ⇒ f'(x)= 4x-3, найдём критические точки: 4х-3=0, ⇒ х = 3/4=0,75 ∈[-1;1]. Найдём значения функции в критической точке и на концах данного промежутка:      f(3/4)= 2·(3/4)²- 3·3/4 +1 =9/8 -9/4 + 1 = -1/8 ;     f(1) = 0;   f(-1)=6 ⇒ max f(x)=f(-1)=6;    minf(x)=f(3/4)=-1/8

2)f(x)=3x²-4 на [2;4] ⇒ f'(x)=6x   6x=0, x=0-крит. точка, но x=0∉ [2;4] ⇒ Найдём значения функции  на концах данного промежутка:  f(2)= 3·2²-4= 12-4=8        f(4)=3·4² - 4= 48-4=44 ⇒ max f(x)=f(-4)=44;    minf(x)=f(2)=8                              3)f(x)=x²-1 на [0;3]⇒ f'(x)=2x , 2x=0   x=0 -критическая точка х=0 ∈ [0;3].   Найдём значения функции в критической точке и на концах данного промежутка: f(0) =0²-1=-1; f(3)=3²-1=8 ⇒max f(x)=f(3)=8;    minf(x)=f(0)= -1                      

4,7(81 оценок)
Это интересно:
Новые ответы от MOGZ: Математика
logo
Вход Регистрация
Что ты хочешь узнать?
Спроси Mozg
Открыть лучший ответ