М
Молодежь
К
Компьютеры-и-электроника
Д
Дом-и-сад
С
Стиль-и-уход-за-собой
П
Праздники-и-традиции
Т
Транспорт
П
Путешествия
С
Семейная-жизнь
Ф
Философия-и-религия
Б
Без категории
М
Мир-работы
Х
Хобби-и-рукоделие
И
Искусство-и-развлечения
В
Взаимоотношения
З
Здоровье
К
Кулинария-и-гостеприимство
Ф
Финансы-и-бизнес
П
Питомцы-и-животные
О
Образование
О
Образование-и-коммуникации
Эliна
Эliна
24.01.2021 13:40 •  Математика

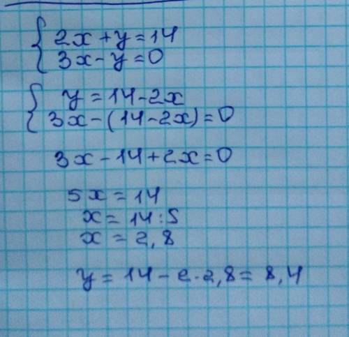
Найди значение переменной x, если {2x+y=14
3x−y=0

ответ: x=
.​

👇
Ответ:
ksenichchka
ksenichchka
24.01.2021

Решение и ответ в фото

И х и у.


Найди значение переменной x, если {2x+y=14 3x−y=0ответ: x=.​
4,6(77 оценок)
Открыть все ответы
Ответ:
MuBuHa
MuBuHa
24.01.2021
Так как пионеры прошли в первый день s₁ = 9,8 км или 35% всего пути, то весь путь составляет:                                               s = s₁ : 35 *100 = 28 (км) тогда во второй и третий день вместе пионеры прошли:                                               s₂₃ = s - s₁ = 28 - 9,8 = 18,2 (км) обозначим х - путь, который был пройден в третий день, а 5/8 *x - путь пройденный во второй день:                                                 s₂₃ = x + 5x/8                                               13x/8 = 18,2                                               13x = 18,2 * 8                                                   x = 145,6 : 13                                                   x = 11,2 (км)       5x/8 = 7 (км) ответ: во второй день пионеры прошли 7 км, в третий - 11,2 км
4,8(99 оценок)
Ответ:
rezkova
rezkova
24.01.2021
Y=x^3/2(x-1)^2

, такое ведь условие? (х-1) - это множитель, а не степень?

найдем производную данной функции:

y' = 2(х+3)(х+1) + (х+3)^2 = 2(х^2 + 4x + 3) + x^2 + 6x + 9 = 2x^2 + 8x + 6 + x^2 + 6x + 9 = 3x^2 + 14x + 15.

приравняем производную к 0:

3x^2 + 14x + 15 = 0;

d = 196 - 12*15 = 16;

х = -3 или х = -1 целая 2/3.

х = -3 - точка максимума.найдем значение функции на концах отрезка и в точке х = -3: у(-3) = (-3+3)^2 * (-3-1) + 2 = 2.

у(-4) = (-4+3)^2 * (-4-1) + 2 = -3.

у(-2) = (-2 + 3)^2 * (-2-1) + 2 = -1.

значит, наибольшее значение функции на отрезкке [-4; -2] = у(-3) = 2.

4,5(20 оценок)
Это интересно:
Новые ответы от MOGZ: Математика
logo
Вход Регистрация
Что ты хочешь узнать?
Спроси Mozg
Открыть лучший ответ