М
Молодежь
К
Компьютеры-и-электроника
Д
Дом-и-сад
С
Стиль-и-уход-за-собой
П
Праздники-и-традиции
Т
Транспорт
П
Путешествия
С
Семейная-жизнь
Ф
Философия-и-религия
Б
Без категории
М
Мир-работы
Х
Хобби-и-рукоделие
И
Искусство-и-развлечения
В
Взаимоотношения
З
Здоровье
К
Кулинария-и-гостеприимство
Ф
Финансы-и-бизнес
П
Питомцы-и-животные
О
Образование
О
Образование-и-коммуникации
Ahau
Ahau
26.03.2023 16:18 •  Математика

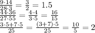
Сократите: 9*14/28*3 44*36/27*55 3*5+7*5/25

👇
Ответ:
ruslana0404
ruslana0404
26.03.2023
\frac{9\cdot14}{28\cdot3} = \frac{3}{2} =1.5
\\\
 \frac{44\cdot36}{27\cdot55} = \frac{4\cdot4}{3\cdot5} = \frac{16}{15} 
\\\
 \frac{3\cdot5+7\cdot5}{25} = \frac{(3+7)\cdot5}{25} = \frac{10}{5} =2
4,7(48 оценок)
Открыть все ответы
Ответ:
feterina
feterina
26.03.2023
АНТАРКТИДА, материк в центре Антарктики. 13975 тыс. км2 (в т. ч. 1582 тыс. км2 — шельфовые ледники и острова, примыкающие к Антарктиде ледниками). Постоянное население отсутствует. Средние высоты 2040 м (самый высокий материк на Земле), наибольшая — 5140 м (массив Винсон в горах Элсуорт). Восточная и большая часть Зап. Антарктиды — докембрийская Антарктическая платформа, окаймлённая более поздними складчатыми сооружениями. Территорию Зап. Антарктиды занимают каледонская плита и андийский складчатый пояс (Антарктический полуостров и прилегающие к нему районы). 

Св. 99% территории покрыто льдом (средняя мощность 1720 м, наибольшая — св. 4300 м; объем 24 млн. км3); свободные ото льда участки встречаются в виде оазисов (см. Антарктические оазисы ), горных массивов, нунатаков. 

Из растений встречаются цветковые, папоротниковые (на Антарктическом полуострове), лишайники, грибы, бактерии, водоросли (в оазисах). На побережье обитают тюлени, пингвины. 

1.Географическое положение

Материк расположен в южном полушарии, почти целиком в области, ограниченной Южным полярным кругом. Антарктида удалена от других материков. Самый близкий континент — Южная Америка — отделен от нее проливом Дрейка шириной более 1000 км. 

Северную полярную область Земли называют Арктикой ( от греческого арктос - "медведь"), а противоположную — Антарктикой (анти-Арктикой), которая включает Антарктиду, омывающие ее океаны и острова примерно до 50-60° ю.ш.

Берега континента почти на всем протяжении представляют собой отвесные ледяные обрывы, часть ледников спускается в воду и лежит на шельфе. Берега изрезаны слабо, материк омывают несколько морей. Все они носят имена мореплавателей-исследователей Антарктики: Уэддела, Росса, Беллинсгаузена, Амундсена. Крайняя точка материка расположена на Антарктическом полуострове - мыс Сифре 63° ю.ш.

2. Открытие материка

Антарктида была открыта позже всех других материков. Знаменитый английский мореплаватель Дж. Кук во время своей второй кругосветной экспедиции в 1772-1775 гг. сделал попытку найти Южный материк. Он обогнул материк и трижды пересек Южный полярный круг, достиг 71° ю.ш., но не смог близко подойти к его берегам, земли он так и не обнаружил и объявил, что ее не существует. 

После Дж. Кука мореплаватели не решались искать шестой континент. И только в первой половине XIX в. два русских шлюпа ( парусных корабля) "Восток" и "Мирный" под командованием Ф.Ф. Беллинсгаузена и М.П. Лазарева покинули Кронштадт "с целью приобретения полнейших знаний о нашем земном шаре". В январе 1820 г. участники этой русской экспедиции увидели неизвестную землю вблизи точки с широтой 70° ю.ш. Это был берег шестого континента, одетый в толстый слой льда и снега. 

3. Историческое Трудно представить панораму Антарктиды, покрытой густыми лесами, но ученые, изучая окаменелости в осадочных породах Антарктического полуострова, нашли доказательства того, что растительная жизнь процветала здесь во влажном, умеренном климате. Подтверждение тому — многочисленные находки окаменевших остатков широколиственных лесов и обитателей теплых морей.
Недра материка богаты полезными ископаемыми. В Антарктиде обнаружены залежи каменного угля, руды черных и цветных металлов, алмазы, но международный статус материка и суровые погодные условия не дают возможности добывать полезные ископаемые. 

4. Органический мир 

Суровые условия материка - причина бедности органического мира Антарктиды. Среди растений на материке встречаются лишайники, мхи, водоросли. Только на Антарктическом полуострове растут некоторые виды трав. Наземных млекопитающих в Антарктиде нет. 

Воды у берегов Антарктиды богаты планктоном, которым питаются рыбы, киты, тюлени. Очагами жизни в Антарктиде являются оазисы, в которых помимо растений найдены черви и бескрылые насекомые. 

5. Климат 

Приполярное положение, огромный ледниковый покров, большая высота материка - причины сурового климата Антарктиды. Во внутренних районах материка зимние температуры опускаются до - 60-70°С, столбик термометра летом не поднимается выше - 30 °С. На станции "Восток" зарегистрирована температура - 89,2°С (июль 1983 г.). Преобладает ясная погода, осадки выпадают в виде снега - 30-50 мм в год. 

Климат ледникового склона мало отличается от климата внутриматериковой области. Разница в температурах составляет 5-10 °С. Низкие температуры сочетаются с постоянными стоковыми ветрами.

Летом на окраинах материка происходит таяние льдов, но земля не освобождается от льда, так как лед постоянно течет из центральных областей к побережью. 

6. Исследования 

Первая, а затем вторая мировые войны приостановили исследования Антарктиды. Возобновились они только в середине XX в. В 1955 г. специальным комитетом при ЮНЕСКО была создана программа антарктических исследований. 
4,4(14 оценок)
Ответ:
alensolowiewa
alensolowiewa
26.03.2023

У большинства людей понятие «зрение» ассоциируется с глазами. На самом деле глаза – это только часть сложного органа, именуемого в медицине зрительный анализатор. Глаза являются лишь проводником информации извне к нервным окончаниям. А сама видеть, различать цвета, размеры, формы, расстояние и движение обеспечивается именно зрительным анализатором – системой сложной структуры, которая включает несколько отделов, взаимосвязанных между собой.

Знание анатомии зрительного анализатора человека позволяет правильно диагностировать различные заболевания, определять их причину, выбирать правильную тактику лечения, проводить сложные хирургические операции. У каждого из отделов зрительного анализатора есть свои функции, но между собой они тесно взаимосвязаны. Если хоть какая-то из функций органа зрения нарушается, это неизменно сказывается на качестве восприятия действительности. Восстановить его можно, только зная, где скрыта проблема. Вот почему так важно знание и понимание физиологии глаза человека.

Источник: https://gsproekt.ru/obshee/zritelnyy-analizator

Пошаговое объяснение:

4,5(17 оценок)
Это интересно:
Новые ответы от MOGZ: Математика
logo
Вход Регистрация
Что ты хочешь узнать?
Спроси Mozg
Открыть лучший ответ