М
Молодежь
К
Компьютеры-и-электроника
Д
Дом-и-сад
С
Стиль-и-уход-за-собой
П
Праздники-и-традиции
Т
Транспорт
П
Путешествия
С
Семейная-жизнь
Ф
Философия-и-религия
Б
Без категории
М
Мир-работы
Х
Хобби-и-рукоделие
И
Искусство-и-развлечения
В
Взаимоотношения
З
Здоровье
К
Кулинария-и-гостеприимство
Ф
Финансы-и-бизнес
П
Питомцы-и-животные
О
Образование
О
Образование-и-коммуникации
isokova01
isokova01
25.04.2023 18:01 •  Математика

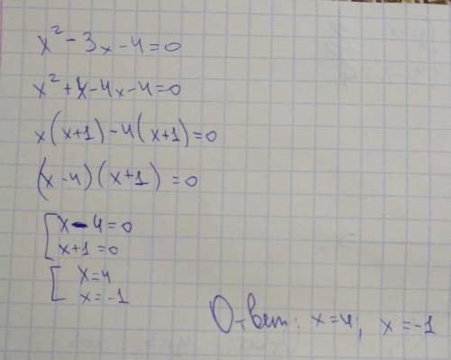
Найдите корни уравнения х²-3х-4=0 , подробно с объяснением.

👇
Ответ:
belayazima
belayazima
25.04.2023

нужно подробнее или всё понятно?


Найдите корни уравнения х²-3х-4=0 , подробно с объяснением.
4,5(6 оценок)
Открыть все ответы
Ответ:
LenysikRESHAETVSE
LenysikRESHAETVSE
25.04.2023
Будем поьзоваться следующими соотношениями:

1 ц = 100 кг ;

1 кг = 1000 г ;

1 м = 10 дм ;

1 м² = (10 дм)² = 100 дм² ;

1 м³ = (10 дм)³ = 1000 дм³ ;

1 км = 1000 м ;

1 сут = 24 ч ;

1) Увеличить в 5 раз:

5 · ( 23 ц 650 кг ) = 5 · 23 ц + 5 · 650 кг =

= 115 ц + 3250 кг = 115 ц + 3200 кг + 50 кг ;

Заметим, что: 3200 кг = 32 · 100 кг = 32 · 1 ц = 32 ц ;

5 · ( 23 ц 650 кг ) = 115 ц + 32 ц + 50 кг ;

5 · ( 23 ц 650 кг ) = 147 ц + 50 кг ;

5 · ( 2 сут 12 ч ) = 5 · 2 сут + 5 · 12 ч =

= 10 сут + 60 ч = 10 сут + 48 ч + 12 ч ;

Заметим, что: 48 ч = 2 · 24 ч = 2 · 1 сут = 2 сут ;

5 · ( 2 сут 12 ч ) = 10 сут + 2 сут + 12 ч ;

5 · ( 2 сут 12 ч ) = 12 сут + 12 ч ;

5 · ( 8 м² 20 дм² ) = 5 · 8 м² + 5 · 20 дм² =

= 40 м² + 100 дм² = 40 м² + 1 м² ;

И в итоге: 5 · ( 8 м² 20 дм² ) = 41 м² ;

2) Увеличить в 12 раз:

12 · ( 2 кг 200 г ) = 12 · 2 кг + 12 · 200 г =

= 24 кг + 2400 г = 24 кг + 2000 г + 400 г ;

Заметим, что: 2000 г = 2 · 1000 г = 2 · 1 кг = 2 кг ;

12 · ( 2 кг 200 г ) = 24 кг + 2 кг + 400 г ;

12 · ( 2 кг 200 г ) = 26 кг 400 г ;

12 · ( 7 м³ 20 дм³ ) = 12 · 7 м³ + 12 · 20 дм³ = 84 м³ 240 дм³ ;

12 · ( 9 км 200 м ) = 12 · 9 км + 12 · 200 м =

= 108 км + 2400 м = 108 км + 2000 м + 400 м ;

Заметим, что: 2000 м = 2 · 1000 м = 2 · 1 км = 2 км ;

12 · ( 9 км 200 м ) = 108 км + 2 км + 400 м ;

12 · ( 9 км 200 м ) = 110 км 400 м ;

О т в е т ы :

1) 147 ц + 50 кг ; 12 сут + 12 ч ; 41 м² ;

2) 26 кг + 400 г ; 84 м³ 240 дм³ ; 110 км 400 м .
4,5(4 оценок)
Ответ:
Beliya1
Beliya1
25.04.2023
1. Числа записаны по правилу четности, или делимости на 2.
Признак делимости на 2 - если последнч цифра числа четная (делится на 2, то число делится на 2.
2. Признак делимости на 3: если сумма цифр числа делится на 3, то число делится на три.
Делятся на 3: 6;12;18
Не делятся на 3: 2;4;8;10;14:16:20
3. Можно распределить числа по признаку делимости на 6. 
Признак делимости на 6: если число делится на 2 и 3, то число делится на 6.
Делятся на 6: 6;12:18.
Не делятся на 6: 2;4;8;10;14:16:20
4. Можно распределить числа по признаку делимости на 4.
Признак делимости на 4: число делится на 4, если две его последние цифры нули или образуют число, которое делится на 4.
Делятся на 4: 4;8;12;16;20
Не делятся на 4; 2;6;10;14;18
4,8(15 оценок)
Новые ответы от MOGZ: Математика
logo
Вход Регистрация
Что ты хочешь узнать?
Спроси Mozg
Открыть лучший ответ