М
Молодежь
К
Компьютеры-и-электроника
Д
Дом-и-сад
С
Стиль-и-уход-за-собой
П
Праздники-и-традиции
Т
Транспорт
П
Путешествия
С
Семейная-жизнь
Ф
Философия-и-религия
Б
Без категории
М
Мир-работы
Х
Хобби-и-рукоделие
И
Искусство-и-развлечения
В
Взаимоотношения
З
Здоровье
К
Кулинария-и-гостеприимство
Ф
Финансы-и-бизнес
П
Питомцы-и-животные
О
Образование
О
Образование-и-коммуникации
есенгельды
есенгельды
23.12.2021 18:41 •  Математика

Задание по математическому анализу прикреплено ниже


Задание по математическому анализу прикреплено ниже

👇
Ответ:
tvzhanna80
tvzhanna80
23.12.2021

Формулы:

\frac{dz}{du} = \frac{dz}{dx} \times \frac{dx}{du} + \frac{dz}{dy} \times \frac{dy}{du} \\ \\ \frac{dz}{dv} = \frac{dz}{dz} \times \frac{dx}{dv} + \frac{dz}{dy} \times \frac{dy}{dv}

(везде закругленная d)

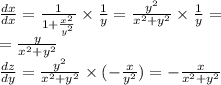
\frac{dx}{dx} = \frac{1}{1 + \frac{ {x}^{2} }{ {y}^{2} } } \times \frac{1}{y} = \frac{ {y}^{2} }{ {x}^{2} + {y}^{2} } \times \frac{1}{y} = \\ = \frac{y}{ {x}^{2} + {y}^{2} } \\ \frac{dz}{dy} = \frac{ {y}^{2} }{ {x}^{2} + {y}^{2} } \times ( - \frac{x}{ {y}^{2} } ) = - \frac{x}{ {x}^{2} + {y}^{2} }

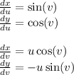
\frac{dx}{du} = \sin(v) \\ \frac{dy}{du} = \cos(v) \\ \\ \frac{dx}{dv} = u \cos(v) \\ \frac{dy}{dv} = - u \sin(v)

Собираем:

первая:

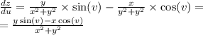
\frac{dz}{du} = \frac{y}{ {x}^{2} + {y}^{2} } \times \sin(v) - \frac{x}{ {y}^{2} + {y}^{2} } \times \cos(v) = \\ = \frac{y \sin(v) - x \cos(v) }{ {x}^{2} + {y}^{2} }

вторая:

\frac{dz}{dv} = \frac{y}{ {x}^{2} + {y}^{2} } \times u \cos(v) + ( - \frac{x}{ {x}^{2} + {y}^{2} } ) \times ( - u \sin(v) ) = \\ = \frac{yu \cos(v) + xu \sin(v) }{ {x}^{2} + {y}^{2} }

4,5(42 оценок)
Открыть все ответы
Ответ:
leomax2
leomax2
23.12.2021
1) 10000: 60=166,6 метров в минуту                                                                                   2) 166,6х 45 =7497пройдёт метров за 45 минут                                                                   3)7497:3=2499 пройдёт река за 1 час метровответ скорость реки 2499 метров в 1 час
или ответ скорость реки 2 км 499м
1/4 часть 15 минутза                                                                                                                 45 минут она от 10 километров это 7,5 километров
7,5: 3= 2,5
4,4(82 оценок)
Ответ:
adilukanova
adilukanova
23.12.2021
1) 10000: 60=166,6 метров в минуту                                                                                   2) 166,6х 45 =7497пройдёт метров за 45 минут                                                                   3)7497:3=2499 пройдёт река за 1 час метровответ скорость реки 2499 метров в 1 час
или ответ скорость реки 2 км 499м
1/4 часть 15 минутза                                                                                                                 45 минут она от 10 километров это 7,5 километров
7,5: 3= 2,5
4,7(96 оценок)
Новые ответы от MOGZ: Математика
logo
Вход Регистрация
Что ты хочешь узнать?
Спроси Mozg
Открыть лучший ответ