М
Молодежь
К
Компьютеры-и-электроника
Д
Дом-и-сад
С
Стиль-и-уход-за-собой
П
Праздники-и-традиции
Т
Транспорт
П
Путешествия
С
Семейная-жизнь
Ф
Философия-и-религия
Б
Без категории
М
Мир-работы
Х
Хобби-и-рукоделие
И
Искусство-и-развлечения
В
Взаимоотношения
З
Здоровье
К
Кулинария-и-гостеприимство
Ф
Финансы-и-бизнес
П
Питомцы-и-животные
О
Образование
О
Образование-и-коммуникации
natusestfons
natusestfons
19.11.2021 03:22 •  Математика

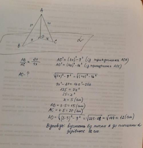
З точки А до площини а проведено дві похлі,довжини яких відносяться як 3:4. Знайдіть відстань від точки А до площини а ,якщо довжинапрекцй похилих дорівнюють 9см і 16см

👇
Ответ:
Anuffka
Anuffka
19.11.2021

Відповідь: 12 см

Покрокове пояснення: див на фото малюнок


З точки А до площини а проведено дві похлі,довжини яких відносяться як 3:4. Знайдіть відстань від то
4,4(97 оценок)
Открыть все ответы
Ответ:
ДианаDi1111
ДианаDi1111
19.11.2021
А) легковая машина выехала из пункта А в пункт Б со скоростью 90км/ч. В то же время вышел пешеход из пункта А в пункт Б, но его скорость была на 70км/ меньше легковой машины. Через 3 часа машина доехала до пункта Б. Какое расстояние от пункта А до пункта Б? Какое расстояние пешеход за 3 часа?
составляем краткую запись;
Vмаш.-(скорость машины)90км/ч
Vпеш.-(скорость пешехода)Vмаш.-70км/ч
t-(время)3ч.
Рпеш.-?
Р-?
решение:
1)(находим скорость перехода)90-70=20(км/ч)-Vпеш.
2)(находим сколько пешеход за 3ч.)20•3=60(км)-Рпеш.
3)(находим все расстояние)90•3=270(км)-Р
ответ:90;60
б) грузовик вез от фермы в магазин 70кг. мяса со скоростью 90км/ч. Выясните всё расстояние от фермы до магазина, если через 3 часа он проехал пол пути равному 220км. Рассчитайте сколько времени он ехал до магазина.
составляем краткую запись:
Vгруз.-90км/ч
t-3ч.
Р-220•2
t(весь)-t•2
решение:
1)220•2=440(км)-Р
2)3•2=6(ч)-t(весь)
ответ:440км;6

Да я знаю что украл мне нужны для вопроса большого
4,7(56 оценок)
Ответ:
Выставочная деятельность – непростое ремесло. это упорный труд, которому авторские вещи становятся популярными и получают огласку в сми. в отличие от массового, современное выставочное искусство является авторским, то есть индивидуальным и неповторимым. преимуществом сегодня является оказание в сохранении индивидуальности автора. искусство разнообразно и порой приобретает самые неожиданные формы. выставочное искусство в полной мере может проявить уникальность автора и представить его малоизвестные работы. керамика, фарфор, гобелен, мозаика, витраж, любые художественные произведения ассоциируются сегодня с современным искусством. цель любого искусства – донести определенные идеи до людей. в наше время искусство разделилось на массовое и авторское. сейчас модно проводить, например, арт-фестивали, где демонстрируются некоммерческие фильмы. это могут быть авторские ролики, документальное кино, картины неизвестных современных художников и прочее. пользуется популярностью такое течение, как перформанс. это своеобразный вид представления произведений. людей, пришедших на выставку, призывают принять участие в каком-либо действии, стать участниками экспозиции. современное выставочное искусство нуждается в больших площадках для показа инсталляций, которые могут занимать пространство большее, чем стенды выставок тяжелой машиностроительной отрасли. немногие выставочные центры могут предоставить такие площади.
4,8(15 оценок)
Новые ответы от MOGZ: Математика
logo
Вход Регистрация
Что ты хочешь узнать?
Спроси Mozg
Открыть лучший ответ