М
Молодежь
К
Компьютеры-и-электроника
Д
Дом-и-сад
С
Стиль-и-уход-за-собой
П
Праздники-и-традиции
Т
Транспорт
П
Путешествия
С
Семейная-жизнь
Ф
Философия-и-религия
Б
Без категории
М
Мир-работы
Х
Хобби-и-рукоделие
И
Искусство-и-развлечения
В
Взаимоотношения
З
Здоровье
К
Кулинария-и-гостеприимство
Ф
Финансы-и-бизнес
П
Питомцы-и-животные
О
Образование
О
Образование-и-коммуникации
впнекккккк
впнекккккк
27.03.2021 08:03 •  Математика

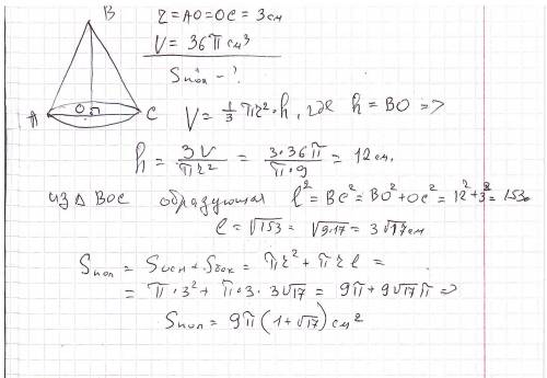
На картинке все задание заранее


На картинке все задание заранее

👇
Ответ:
Хєю
Хєю
27.03.2021

Пошаговое объяснение:

во вложении


На картинке все задание заранее
4,8(4 оценок)
Открыть все ответы
Ответ:
r8n73x9999
r8n73x9999
27.03.2021
Корнем может быть делитель свободного члена 2:+-1;+-2
х=1  1-1-5+3+9-3-7+1+2=0
Разделим многочлен на х-1 получим x^7-5x^5-2^4+7x³+4x²-2x-2
x=-1  -1+5-2-7+4+3-2=0
Разделим многочлен на х+1 получим x^6-x^5-4x^4+2x³+5x²-x-2
x=1  1-1-4+2+5-1-2=0
Разделим многочлен на х-1 получим x^5-4x³-2x²+3x+2
x=1  1-4-2+3+2=0
Разделим многочлен на х-1 получим  x^4+x³-3x²-5x-2
x=-1  1-1-3+5-2=0
Разделим многочлен на х+1 получим  x³-3x-2
x=-1  -1+3-2=0
Разделим многочлен на х+1 получим x²-x-2
x1+x2=1 U x1*x2=-2⇒x1=-1  U x2=2
Многочлен можно разложить на множители (x-1)³(x+1)^4(x-2)
4,8(3 оценок)
Ответ:
dikinova2017ozio8q
dikinova2017ozio8q
27.03.2021
Рассмотрите такое решение:
1. После поднятия цены в первый раз получилось число 50х, после поднятия во второй раз - 50х², а после поднятия в третий раз - 50х³.
2. Так как х - множитель, который больше , чем 1, то, чтобы уменьшить цену на х процентов, надо домножить на выражение (1-(х-1)). То нсть число 50х³ умножаить на (1-(х-1)).
3. По условию, после уменьшения цены получилось число 69,12. Тогде получается уравнение:
50х³*(1-(х-1))=69,12, откуда х=1,2.
4. Так как множитель равен 1,2, то новая цена при повышении была (100+20)%, значит, повышение и понижение было на 20%.
4,7(86 оценок)
Это интересно:
logo
Вход Регистрация
Что ты хочешь узнать?
Спроси Mozg
Открыть лучший ответ