М
Молодежь
К
Компьютеры-и-электроника
Д
Дом-и-сад
С
Стиль-и-уход-за-собой
П
Праздники-и-традиции
Т
Транспорт
П
Путешествия
С
Семейная-жизнь
Ф
Философия-и-религия
Б
Без категории
М
Мир-работы
Х
Хобби-и-рукоделие
И
Искусство-и-развлечения
В
Взаимоотношения
З
Здоровье
К
Кулинария-и-гостеприимство
Ф
Финансы-и-бизнес
П
Питомцы-и-животные
О
Образование
О
Образование-и-коммуникации
Sinci
Sinci
20.01.2021 19:40 •  Математика

решите уравнение log1/4 (x^2-x-2)=-1

👇
Ответ:
Вилетта2006
Вилетта2006
20.01.2021

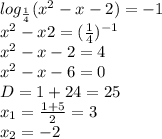
log_{ \frac{1}{4} }( {x}^{2} - x - 2 ) = - 1

ОДЗ:

{x}^{2} - x - 2 0 \\ D = 1 + 8 = 9 \\ x_1 = \frac{1 + 3}{2} = 2 \\ x_2 = - 1 \\ + \: \: \: \: \: \: \: - \: \: \: \: \: \: \: + \\ - - ( - 1) - -2 - - \\ x\in( - \infty ; - 1)U(2; + \infty )

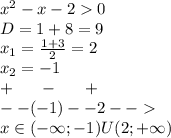
\\ log_{ \frac{1}{4} }( {x}^{2} - x - 2) = - 1 \\ {x}^{2} - x2 = ( \frac{1}{4} ) {}^{ - 1} \\ {x}^{2} - x - 2 = 4 \\ {x}^{2} - x - 6 = 0 \\ D = 1 + 24 = 25 \\ x_1 = \frac{1 + 5}{2} = 3 \\ x_2 = - 2

оба корня входят в ОДЗ

ответ: -2; 3

4,4(13 оценок)
Открыть все ответы
Ответ:
Юліан11
Юліан11
20.01.2021
Первое 0
Чтобы число было кратно 5 (то есть делилось нацело на 5), необходимо, чтобы в разряде единиц этого числа стояли либо цифра 0, либо цифра 5. Четное число — это число, которое кратно 2 (то есть делится нацело на 2). Если в разряде единиц числа стоят цифры 1, 3, 5, 7 или 9 (нечетные), то такое число нацело на 2 не делится. Если же в разряде единиц стоят четные цифры (2, 4, 6, 8) и 0, то такое число четное. Так как число 5 нечетное, то четное число, делящееся на 5 должно оканчиваться цифрой 0. Числа, в разряде единиц которых стоит цифра 0, всегда делятся на 10.
4,4(56 оценок)
Ответ:
саня1321
саня1321
20.01.2021
Чтобы число было кратно 5 (то есть делилось нацело на 5), необходимо, чтобы в разряде единиц этого числа стояли либо цифра 0, либо цифра 5.
Четное число — это число, которое кратно 2 (то есть делится нацело на 2). Если в разряде единиц числа стоят цифры 1, 3, 5, 7 или 9 (нечетные), то такое число нацело на 2 не делится. Если же в разряде единиц стоят четные цифры (2, 4, 6, 8) и 0, то такое число четное.
Так как число 5 нечетное, то четное число, делящееся на 5 должно оканчиваться цифрой 0.
Числа, в разряде единиц которых стоит цифра 0, всегда делятся на 10.
4,5(60 оценок)
Это интересно:
Новые ответы от MOGZ: Математика
logo
Вход Регистрация
Что ты хочешь узнать?
Спроси Mozg
Открыть лучший ответ