М
Молодежь
К
Компьютеры-и-электроника
Д
Дом-и-сад
С
Стиль-и-уход-за-собой
П
Праздники-и-традиции
Т
Транспорт
П
Путешествия
С
Семейная-жизнь
Ф
Философия-и-религия
Б
Без категории
М
Мир-работы
Х
Хобби-и-рукоделие
И
Искусство-и-развлечения
В
Взаимоотношения
З
Здоровье
К
Кулинария-и-гостеприимство
Ф
Финансы-и-бизнес
П
Питомцы-и-животные
О
Образование
О
Образование-и-коммуникации
techno290696
techno290696
24.02.2021 10:44 •  Математика

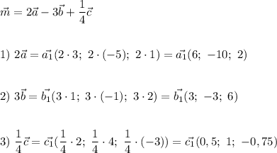
Практическая:Даны векторы: а (3; -5; 1), b (1; -1; 2), С(2; 4; -3) Найдите вектор: m = 2•а – 3•b+1/4•с ​

👇
Ответ:
Snikalka
Snikalka
24.02.2021

\displaystyle\vec{m}=2\vec{a}-3\vec{b}+\frac{1}{4}\vec{c}1)\ 2\vec{a}=\vec{a_1}(2\cdot3;\ 2\cdot(-5);\ 2\cdot1)=\vec{a_1}(6;\ -10;\ 2)2)\ 3\vec{b}=\vec{b_1}(3\cdot1;\ 3\cdot(-1);\ 3\cdot2)=\vec{b_1}(3;\ -3;\ 6)3)\ \frac{1}{4}\vec{c}=\vec{c_1}(\frac{1}{4}\cdot2;\ \frac{1}{4}\cdot4; \ \frac{1}{4}\cdot(-3))=\vec{c_1}(0,5;\ 1;\ -0,75)

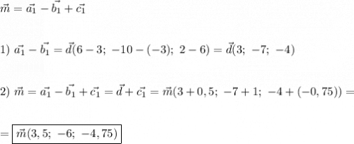
Я обозначил получившиеся вектора индексами. Если заменить ими исходные вектора, то получится:

\displaystyle\vec{m}=\vec{a_1}-\vec{b_1}+\vec{c_1}1)\ \vec{a_1}-\vec{b_1}=\vec{d}(6-3;\ -10-(-3);\ 2-6)=\vec{d}(3;\ -7;\ -4)2)\ \vec{m}=\vec{a_1}-\vec{b_1}+\vec{c_1}=\vec{d}+\vec{c_1}=\vec{m}(3+0,5;\ -7+1;\ -4+(-0,75))==\boxed{\vec{m}(3,5; \ -6; \ -4,75)}

4,6(64 оценок)
Открыть все ответы
Ответ:
malinovaya14
malinovaya14
24.02.2021
Энергия солнца-это единственный  источник энергии для всего живого и для самой Земли. 
За счет энергии воды и ветра создаются ветряные электростанции и гидроэлектростанции.
Огонь в глубокой древности использовали в качестве обеспечения тепла,приготовления пищи,сушки одежды,отпугивания животных.На сегодняшний день огонь используется в мн.сферах деятельности(это вы уже должны знать.)
Топливо может быть жидким и твердым.
жидкое топливо-нефть,масла,спирты эфиры(используются в химической и др.промышленностях)
твердое топливо- древесина,торф,уголь,порох(используются в разн.областях промышленности)
газообразное топливо и нетепичное топливо(ядерная энергия)
животных человек использует в пищу(мясо,рыбу),получает продукты питания(яйца,молоко и др),а также использует шкуры,кожи и меха животных для производства одежды/обуви/сумок и пр.
4,8(79 оценок)
Ответ:
MrZheka17
MrZheka17
24.02.2021
В условии не оговорено количество свинарников ?
Оно может быть и 4, и 6, и 8, и..., а от этого зависит ответ на вопрос а).

а) Можно определить МИНИМАЛЬНОЕ количество поросят (в 4 свинарниках). 
Если Х->2Х->Х->2Х -> (и возврат к Х), то 6Х поросят (кратно 6). Минимум - 6 поросят.

МАКСИМАЛЬНОЕ - зависит от кол-ва свинарников (n).
 Кроме того, при одинаковом n зависит от чередования в них  количества свиней - при  "неуклонном росте, а потом убывании" число поросят больше, чем при "колебаниях":
 Х->2Х->4Х->8Х->4Х->2Х -> (и возврат к Х) = кратно 21 (в 6 свинарниках)
или Х->2Х->Х->2Х->4Х->2Х -> (и возврат к Х) = кратно 12 (в 6 свинарниках). 

б) 27 поросят в свинарника можно разместить как Х+2Х+4Х+2Х=27.
9Х=27 при Х=3 (т.е. 3+6+12+6=27)

в) В "этих же "  4 свинарниках можно разместить 360 поросят.
9У=360 при У=40 (т.е. 40+80+160+80=360).

 
4,8(79 оценок)
Это интересно:
Новые ответы от MOGZ: Математика
logo
Вход Регистрация
Что ты хочешь узнать?
Спроси Mozg
Открыть лучший ответ