М
Молодежь
К
Компьютеры-и-электроника
Д
Дом-и-сад
С
Стиль-и-уход-за-собой
П
Праздники-и-традиции
Т
Транспорт
П
Путешествия
С
Семейная-жизнь
Ф
Философия-и-религия
Б
Без категории
М
Мир-работы
Х
Хобби-и-рукоделие
И
Искусство-и-развлечения
В
Взаимоотношения
З
Здоровье
К
Кулинария-и-гостеприимство
Ф
Финансы-и-бизнес
П
Питомцы-и-животные
О
Образование
О
Образование-и-коммуникации
ЧерриБерри
ЧерриБерри
07.04.2022 17:02 •  Математика

Решить
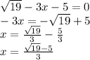
Найдите корень уравнения √19-3х-5=0


Решить Найдите корень уравнения √19-3х-5=0

👇
Ответ:
Раола
Раола
07.04.2022

В фото все показано.          


Решить Найдите корень уравнения √19-3х-5=0
4,5(63 оценок)
Ответ:
chifire
chifire
07.04.2022

\sqrt{19} - 3x - 5 = 0 \\ - 3x = - \sqrt{19} + 5 \\x = \frac{ \sqrt{19} }{3} - \frac{5}{3} \\ x = \frac{ \sqrt{19} - 5 }{3}

Надеюсь правильно)

4,4(73 оценок)
Открыть все ответы
Ответ:
aruukealtymysh
aruukealtymysh
07.04.2022
Чтобы решить эту задачу, нам понадобятся знания о свойствах вписанной окружности и формуле площади треугольника.

Согласно свойству вписанной окружности, любая прямая, проведенная из вершины треугольника к точке касания окружности с стороной, делит эту сторону на две части, длины которых являются хордами окружности. В нашем случае, такая прямая будет проходить через точку C и делить сторону AB на две равные части длиной 7.5 см каждая.

Мы можем обозначить длины сторон треугольника как AB = 15 см, AC = 7.5 см и BC = 7.5 см. Теперь мы можем использовать формулу полупериметра треугольника и радиус вписанной окружности, чтобы найти площадь треугольника.

Полупериметр треугольника вычисляется по формуле s = (AB + AC + BC) / 2. В нашем случае s = (15 + 7.5 + 7.5) / 2 = 15 см.

Формула площади треугольника через полупериметр и радиус вписанной окружности имеет вид S = sqrt(s * (s - AB) * (s - AC) * (s - BC)), где sqrt обозначает квадратный корень.

Подставляя значения, получаем S = sqrt(15 * (15 - 15) * (15 - 7.5) * (15 - 7.5)) = sqrt(15 * 0 * 7.5 * 7.5) = 0.

Таким образом, площадь треугольника равна 0. Ответ: 0.
4,7(23 оценок)
Ответ:
Kukitoria666
Kukitoria666
07.04.2022
Для того чтобы решить эту задачу, нам необходимо разобраться с основными свойствами ромба и использовать геометрический подход.

1. Прежде всего, давайте введем обозначения. Пусть ACBD - ромб, где AC и BD - диагонали, и AD является его меньшей диагональю. Также пусть плоскость р обозначена как α.

2. Заметим, что угол между плоскостью ромба и плоскостью р равен α. Это значит, что мы хотим найти косинус двугранного угла, образованного этими плоскостями.

3. Известно, что угол между диагоналями ромба равен 120°. Диагонали ромба делятся пополам и перпендикулярны. Поэтому у нас есть прямоугольный треугольник ADO, где AD - меньшая диагональ, AO - радиус окружности, вписанной в ромб.

4. Поскольку угол ромба равен 120°, мы знаем, что угол OAD равен 60°.

5. Теперь нам необходимо найти косинус угла OAD. Мы знаем, что cosα = AD/AO, поэтому нам нужно найти соотношение между AD и AO.

6. Обратимся к треугольнику AOD. Мы знаем, что у него есть прямой угол O, а также угол OAD равен 60°. По свойству треугольника имеем:

cos 60° = AD/AO,
1/2 = AD/AO,
AO = 2AD.

7. Таким образом, мы можем заменить AO в выражении для cosα:

cos α = AD/AO,
cos α = AD/(2AD),
cos α = 1/2.

8. Поскольку нам дано, что cosα = √19/8, мы должны проверить, выполняется ли это равенство. Очевидно, что 1/2 ≠ √19/8.

9. Из этого мы можем сделать вывод, что задача некорректна и/или содержит ошибку в формулировке.

10. В такой ситуации настоятельно рекомендуется проконсультироваться со своим учителем или проверить условие задачи еще раз, чтобы убедиться в правильности исходных данных и постановке задачи.

Это детальное разъяснение позволит школьнику понять, почему в данном случае невозможно получить точный ответ. Это будет способствовать его лучшему пониманию математических принципов и развитию логического мышления.
4,7(54 оценок)
Это интересно:
Новые ответы от MOGZ: Математика
logo
Вход Регистрация
Что ты хочешь узнать?
Спроси Mozg
Открыть лучший ответ