М
Молодежь
К
Компьютеры-и-электроника
Д
Дом-и-сад
С
Стиль-и-уход-за-собой
П
Праздники-и-традиции
Т
Транспорт
П
Путешествия
С
Семейная-жизнь
Ф
Философия-и-религия
Б
Без категории
М
Мир-работы
Х
Хобби-и-рукоделие
И
Искусство-и-развлечения
В
Взаимоотношения
З
Здоровье
К
Кулинария-и-гостеприимство
Ф
Финансы-и-бизнес
П
Питомцы-и-животные
О
Образование
О
Образование-и-коммуникации
marina4010
marina4010
05.04.2021 03:34 •  Математика

решить 1) x-14 < 3(x+2)
2) 5(6x+1) > 2(15x+3)-7
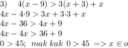
3) 4(x-9) > 3(x+3)+x

👇
Ответ:
ivanovaizl
ivanovaizl
05.04.2021

Пошаговое объяснение:

1) \qquad x-14 < 3(x+2) \qquad \\ x - 14 < 3x + 6 \\ x - 3x < 6 + 14 \\ - 2x < 20 \: \: < = \: 2x 20 \\ x 10 < = \: x \in (10; + \infty ) \: \\ \\

2) \: \: \: 5(6x+1) 2(15x+3)-7 \\ 5 {\cdot}6x + 5 2{\cdot}15x + 2{\cdot}3 \\ \cancel{30x + 5 } \cancel{30x + 5 } - 7 \\ 0 - 7 \: = x \in ( - \infty; + \infty ) \\ \\

3) \quad \: 4(x-9) 3(x+3)+x \\ 4x - 4{\cdot}9 3x + 3{\cdot}3 + x \\ 4x - 36 4x + 9 \\ 4x - 4x 36 + 9 \\ 0 45; \: \: mak \: kak \: \: 0 \: \cancel{ } \: 45 \: = x \in \cancel{o} \\

4,4(32 оценок)
Открыть все ответы
Ответ:
DekenS1
DekenS1
05.04.2021

Есть приложения по получению рут прав. Просто в поисковике пиши. Самые популярные:FRAMAROOT, Kingroot, 360root,Towelroot, root genius, root master, baidu root, dingdong

Root (Easy Root), IROOT, KINGOROOT,

Пошаговое объяснение:

Ну а далее: выбираешь любое приложение из списка, какое понравилось и скачиваешь из поисковика. (не все приложения могут подойти к твоему устройству) Устанавливаешь, все как в приложении сказано или сайте по на котором она находится так и делаешь. После настройки устройство перезагрузится и будут рут права. Если хочешь проверить установились ли они, скачай Root Checker, приложение это покажет наличие и правильность установки рут прав.

А для начала подумай, нужно ли это тебе. С рут правами устройство становится очень уязвимым к вирусам, при плохой установке вообще может выйти из строя, если тебе это необходимо- делай так, как сказано выше.

4,6(83 оценок)
Ответ:
aisultankubashev
aisultankubashev
05.04.2021

Пошаговое объяснение:

Вспомним 2 свойства прямоугольника:

Противолежащие стороны прямоугольника равны.

Биссектриса угла отсекает равнобедренный треугольник.

По-скольку сторона BC в общей сложности составляет 3 части, то и сторона AD тоже составляет 3 части.

Так как треугольник ABN - равнобедренный, то его боковые стороны AB и BN равны, а следовательно, стороны AB и CD составляют 2 части(так как BN составляет 2 части).

Складываем все части:

2 + 1 + 2 + 2 + 3 = 10 частей

Найдем, сколько сантиметров приходится на одну часть:

40 см : 10 = 4 см - на одну часть.

Найдем сторону BN и NC:

4 см * 2 части = 8 см - BN

4 см * 1 часть = 4 см - NC

Весь отрезок BC будет равен сумме BN и NC, т.е., 12 см.

Тогда и AD тоже будет равно 12 см

Задача решена.

4,5(91 оценок)
Новые ответы от MOGZ: Математика
logo
Вход Регистрация
Что ты хочешь узнать?
Спроси Mozg
Открыть лучший ответ