М
Молодежь
К
Компьютеры-и-электроника
Д
Дом-и-сад
С
Стиль-и-уход-за-собой
П
Праздники-и-традиции
Т
Транспорт
П
Путешествия
С
Семейная-жизнь
Ф
Философия-и-религия
Б
Без категории
М
Мир-работы
Х
Хобби-и-рукоделие
И
Искусство-и-развлечения
В
Взаимоотношения
З
Здоровье
К
Кулинария-и-гостеприимство
Ф
Финансы-и-бизнес
П
Питомцы-и-животные
О
Образование
О
Образование-и-коммуникации
xaverqenizadeoxg0iy
xaverqenizadeoxg0iy
21.01.2021 21:41 •  Математика

2.упрости выражение А)2•а•15b=
Б)13+m+18+m+2m=

3.решите уравнение:
А)(х+67):5=17
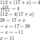
Б)112:(17+х)=4
СОР

👇
Ответ:
МилаКу
МилаКу
21.01.2021

Пошаговое объяснение:

2.

а)

2 \times a \times 15b = 30ab

б)

13 + m + 18 + m + 2m = 31 + m + m + 2m = 31 + 4m

3. а)

(x + 67) \div 5 = 17 \\ \frac{x + 67}{5} = 17 \\ x + 67 = 85 \\ x = 85 - 67 \\ x = 18

б)

112 \div (17 + x) = 4 \\ \frac{112}{17 + x} = 4 \\ 112 = 4(17 + x) \\ 28 = 17 + x \\ - x = 17 - 28 \\ - x = - 11 \\ x = 11

4,4(69 оценок)
Открыть все ответы
Ответ:
radovdima
radovdima
21.01.2021
Жил да был один лентяй и ленился он совсем ничего не делал лишь лежал,ел и спал.Однажды к нему пришел король горох и сказал "'А ну вставай иди работай-ты лентяй". Лентяй ответил королю:''Работать я не хочу, хочу лежат и отдыхать".Король возмутился словам лентяя и сказал:''Если так хочешь лежать и отдыхать, иди с моей страны в другую, что бы ты там отдыхал, а в моей стране такое не допустимо!-с криком сказал король.''.А лентяй ему ответил:''Ладно я уйду с страны горох и придумаю свою страну.''-сказал лентяй.
Ходил лентяй и думал как же свою страну назвать и передумал страну будет называться Лентяево.Предумал герб и флаг лентяй.Флаг был пустым и белым, ведь лентяю было лень рисовать.А герб был каким-то черным ведь в грязи он побывал.История флага такова лень все делать как всегда.История герба такова все ленятся как всегда.Каждый день все больше и больше людей приходили жить в Лентяеве и туристов привлекал закон Страны.Закон страны таков;'Пусто''.Ведь президенту этой страны было лень её писать.
4,4(78 оценок)
Ответ:
Уля220104
Уля220104
21.01.2021
№1 а) S=39600с * 65 км/с=2574000км
          11ч=39600с
       б) u=s/t
           u= 600/50=12 км/с

 №2 Ш.- 600 м
        Д. - ? м, на 150 м  б.
         S - ?
600 м + 150 м = 750 м
 S = 600 м * 750 м =450000 м²=45 га

№3 Ш.- 14 см
      Д. - ? см, в 3 раза б.
      В. - ? см, на 12 см м.
       V - ?
14 * 3 = 42 (см) длина
42- 12=30(см) высота
14*42*30=17640(см³)

  №4  350*92-66600/36+9670=32200-1850+9670=40020

 №5    Ш.- 44 см
        Д. - ? м, на 5 см  м.
         S - S1 - ?

Пусть x - первоначальная длина прямоугольника, тогда 
    S - S1 = 44*x - 44*(x-5) =44*x - 44*x + 220 = 220 (см)
ответ: площадь уменьшится на 220 см
4,5(78 оценок)
Это интересно:
Новые ответы от MOGZ: Математика
logo
Вход Регистрация
Что ты хочешь узнать?
Спроси Mozg
Открыть лучший ответ