М
Молодежь
К
Компьютеры-и-электроника
Д
Дом-и-сад
С
Стиль-и-уход-за-собой
П
Праздники-и-традиции
Т
Транспорт
П
Путешествия
С
Семейная-жизнь
Ф
Философия-и-религия
Б
Без категории
М
Мир-работы
Х
Хобби-и-рукоделие
И
Искусство-и-развлечения
В
Взаимоотношения
З
Здоровье
К
Кулинария-и-гостеприимство
Ф
Финансы-и-бизнес
П
Питомцы-и-животные
О
Образование
О
Образование-и-коммуникации
Varya1111111111113
Varya1111111111113
19.08.2020 17:02 •  Математика

Нужно! лучший гарантировано! один кусок проволоки на 24 м длиннее другого.после того как от кадждого куска отрезали по 10 м,второй кусок оказался в 2 раза короче первого.какой длины были куски проволоки?

👇
Ответ:
1кусок - х
2 кусок - у
После отрезания 10 м
1 кусок - (х-10)
2 кусок - (у-10)
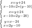
\left \{ {{x=y+24} \atop {x-10=2*(y-10)}} \right. 

\left \{ {{x=y+24} \atop {x-10=2y-20)}} \right. 

\left \{ {{y=x-24} \atop {x=2y-10}} \right. 

Первое подставляем во второе
y+24=2y-10
y=34

x=y+24
x=34+24=58
4,5(37 оценок)
Открыть все ответы
Ответ:
Shimkent
Shimkent
19.08.2020
Два неизвестных и пишем два уравнения.
1)  Х*30% + У*70% = (Х+У)*40% - состав нового сплава. 
2) Х+У= 120 кг - вес нового сплава
Выражаем У из 2)
3)  У = 120-Х - подставляем в уравнение 1)
4) 0,3*Х+0,7*(120-Х) = 0,4*Х+ 0,4*(120-Х)
Раскрываем скобки и упрощаем
5)  0,3*Х + 84 - 0,7*Х = 0,4*Х+48-0,4*Х
-0,4*Х = 48-84= -36
ОТВЕТ:
Х = 90 кг - сплава 30%
У = 120-90=30 кг - сплава 70%
Проверка
90 кг *30% = 27 кг меди в первой отливке, добавим 30 кг*70% = 21 кг меди во второй получим всего 48 кг меди в отливке весом 120 кг.
Проверяем состав сплава  - 48/120 = 0,4 = 40%. - по условию задачи.
4,4(87 оценок)
Ответ:
KÆTÉ
KÆTÉ
19.08.2020
Золотое правило нравственности - общее этическое правило, которое можно перевести, как "Относись к людям так, как ты хочешь, чтобы относились к тебе", или "Не делай другим того, чего желаешь себе".
В христианстве:В Новом Завете это правило неоднократно повторяется в словах Иисуса Христа:"Итак во всем, как хотите, чтобы с вами поступали люди, так поступайте и вы с ними, ибо в этом закон и пороки"В иудизме:В Пятикнижии: "Возлюби ближнего твоего, как самого себя".В исламе:В Коране золотое правило не встречается, однако найдено одно из изречений Мухаммеда: "Делайте всем людям то, что вы бы желали, чтобы вам делали люди,  и не делайте другим того, чего не желаете себе".
4,6(89 оценок)
Новые ответы от MOGZ: Математика
logo
Вход Регистрация
Что ты хочешь узнать?
Спроси Mozg
Открыть лучший ответ