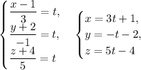
Направляющий вектор данной прямой по каноническому уравнению — это вектор . Запишем данное уравнение в параметрическом виде:
Возьмём некоторую точку H, принадлежащую данной прямой, такую, что вектор был перпендикулярен вектору , а значит, и данной прямой. Из параметрического уравнения следует, что точка H имеет координаты . Тогда вектор .
Поскольку векторы перпендикулярны, их скалярное произведение равно нулю:
Тогда вектор , искомое расстояние есть длина этого вектора:
Разделим цену в желудях на цену в шишках, чтобы узнать, чему соответствует 1 шишка в желудях.
Значит, 1 шишка-это 10 желудей.
Сложим шишки и желуди, имеющиеся у Совы. Но как? Переведем количество шишек, имеющихся у Совы, в желуди, и вот тогда мы сможем сложить.
Мы знаем, что шапочка стоит 50 желудей. А у Совы, как оказалось, 52 желудя, что больше цены шапочки. Чтобы узнать, сколько останется у Совы после покупки, надо отнять от всего того, что имеется у Совы, цену шапки.
Октябрьская революция 1917 г разрушила существовавшее государственное устройство России и ликвидировала её вооружённые силы. Правительству Республики Советов пришлось в первые месяцы создавать вооружённые силы с учётом нового общественного строя страны, международной обстановки и материальных возможностей.
В первый месяц Советской власти её вооружённой опорой являлась Красная гвардия (вооружённые отряды рабочих ). Она создавалась на добровольных началах с марта 1917 г под руководством большевиков и к началу 1918 г насчитывала 460 тыс. человек. Слабо обученная Красная гвардия не могла противостоять вторжению германских войск, угроза которого вынудила Советское правительство начать комплектование постоянной армии.
15 января 1918 г были приняты декреты о созданий Рабоче-Крестьянской Красной Армии (РККА),а 29 января 1918 г - об организаций Рабоче-Крестьянского Красного Флота. Амия и флот создавались на добровольных началах.
В феврале 1918 г молодой Красной Армии и морякам Балтийского флота пришлось отражать натиск германских войск. В ознаменование массового вступление добровольцев в армию для защиты отечества и мужественного сопротивление её отрядов день 23 февраля стал отмечаться как День Советской Армий и Военно-Морского Флота, а с 1992 г- как День Защитников Отечества.
Основным ядром новых Вооружённых Сил Республики Советов стала Красная Армия, а её главным родом войск - пехота. Кавалерия была основным подвижным родом войск. Морские силы включали в себе Балтийский флот и 30 различных флотилии. После ряда реорганизаций было восстановлено единоначалие и обязательный характер военной службы.
В 1925 г был принят Закон об обязательной военной службе, а в 1939 г - Закон о всеобщей воинской обязанности. В армии были введены воинские звания, боевые награды, установлена строгая воинская дисциплина.
Надвигалась вторая мировая война. В этих условиях Советское правительство принимало меры по укреплению обороно страны. Численность войск неустанно росло: - в 1935 г-930 тыс. - в 1938 г-1,5 млн. - к началу 1941 г-5,7 млн. Предпринимались меры по техническому переоснащению войск. Совершенствовалась организационно - штатная структура. В 1937 г ВМФ был выведен из состава РККА. Страна готовилась к войне. Великая Отечественная война 1941 - 1945 гг. стала величайшей проверкой вооружённых сил отстоять свободу и независимость страны.
8 мая 1945 г в пригороде Берлина Карл Карсте был подписан АКТ о безоговорочной капитуляции нацистской Германии.
После войны продолжалось совершенствование и укрепление ВС СССР. В1960 г был создан новый вид ВС - Ракетные войска стратегического назначения. В состав ВС СССР входили:
1 Ракетные войска стратегического назначения (РВСН) Сухопутные войска (СВ.) Войска противовоздушной обороны (ПВО) Военно-воздушные силы (ВВС) Военно-морской флот (ВМФ) Вооруженные Силы включали в себя Тыл Вооружённых Сил, штабы и войска Гражданской обороны.
После распада СССР основной правопреемницей стала Российская Федерация, были созданы и Вооружённые Силы.
2√6
Пошаговое объяснение:
Направляющий вектор данной прямой по каноническому уравнению — это вектор
. Запишем данное уравнение в параметрическом виде:
Возьмём некоторую точку H, принадлежащую данной прямой, такую, что вектор
был перпендикулярен вектору
, а значит, и данной прямой. Из параметрического уравнения следует, что точка H имеет координаты
. Тогда вектор
.
Поскольку векторы перпендикулярны, их скалярное произведение равно нулю:
Тогда вектор
, искомое расстояние есть длина этого вектора: 