М
Молодежь
К
Компьютеры-и-электроника
Д
Дом-и-сад
С
Стиль-и-уход-за-собой
П
Праздники-и-традиции
Т
Транспорт
П
Путешествия
С
Семейная-жизнь
Ф
Философия-и-религия
Б
Без категории
М
Мир-работы
Х
Хобби-и-рукоделие
И
Искусство-и-развлечения
В
Взаимоотношения
З
Здоровье
К
Кулинария-и-гостеприимство
Ф
Финансы-и-бизнес
П
Питомцы-и-животные
О
Образование
О
Образование-и-коммуникации
Neymar3110
Neymar3110
31.03.2023 21:11 •  Математика

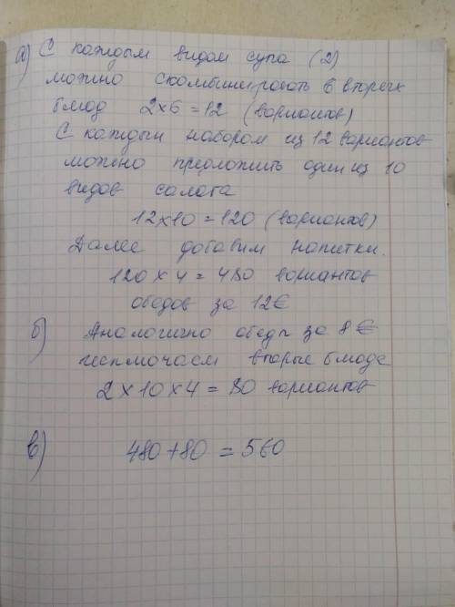
В придорожном финском ресторане можно взять обед за 12€, состоящий из напитка, салата, супа и второго, или за 8€ без второго. Сколько существует вариантов обеда за а) 12€, б) 8€, в) любого обеда, если предлагается 4 вида напитков, 2 вида супа, 6 вторых и 10 видов салата?

👇
Ответ:
nastja2011i
nastja2011i
31.03.2023

Смотри


В придорожном финском ресторане можно взять обед за 12€, состоящий из напитка, салата, супа и второг
4,7(47 оценок)
Открыть все ответы
Ответ:
ткач2
ткач2
31.03.2023

100 км расстояние между двумя деревнями

Пошаговое объяснение:

Пусть расстояние между деревнями = х км

х/25 (час) - время, которое должен затратить лыжник на расстояние между двумя  деревнями со скоростью 25 км/ч

Но, так как лыжник задержался в первой деревне на 40 мин = 2/3 часа, он увеличил скорость на 20% = 0,2:  25+25*0,2 = 30 (км/ч), тогда общее время, которое он затратил на расстояние между двумя  деревнями со скоростью 30 км/ч и задержкой на 2/3 часа будет равно:

(х/30 + 2/3) часа

Время, которое должен был затратить лыжник на расстояние между двумя  деревнями со скоростью 25 км/ч  равно времени, которое лыжник затратил с увеличенной скоростью + задержка в деревне на 40 мин.

Составим уравнение:

х/25 = х/30 + 2/3

х/25 - х/30 = 2/3

6х/150 - 5х/150 = 100/150

6х - 5х = 100

х = 100 (км) расстояние между двумя деревнями

Проверим:

100/25 = 100/30+2/3

4 = 3 1/3 + 2/3

4 часа = 4 часа - верно

4,6(97 оценок)
Ответ:
06Loki90
06Loki90
31.03.2023
1) 15 различных книг расставлены на одной полке наудачу. Определить вероятность того,что при этом три книги (одного автора) окажутся поставленными вместе. 

2)Рабочий обслуживает три станка. Вероятность того, что в течение смены требуют его внимания: первый станок равна 0,2 ;второй - 0,3 ; третий - 0,4 . Найти вероятность, что в течение смены: а) ни один станок не потребует его внимания; б)потребуют его внимания какие-нибудь два станка. 

3)Вероятность производства бракованной детали равна 0,008. Найти вероятность того, что среди 1000 изготовленных деталей бракованных будет не более трёх.
4,5(47 оценок)
Новые ответы от MOGZ: Математика
logo
Вход Регистрация
Что ты хочешь узнать?
Спроси Mozg
Открыть лучший ответ