

с 1
Путём прибавления единицы
Путём вычитания единицы
407, 470, 704, 740
9
двузначное
разряды единицы, десятки, сотни, тысячи и т.д
30, 37, 70, 73
тысячи
миллионы
класс тысяч составляет 3 разряда
Класс миллионов 3 разряда
10 единиц образуют следующий десяток
10 десятков следующую сотню и т.д
Пошаговое объяснение:
с одного (1)
Путём прибавления 1,2,3,4 это 1+1=2, 2+1=3, 3+1=4 и т.д
Путём вычитания 4, 3, 2, 1 это 4-1=3, 3-1=2, 2-1=1 и т.д
используя 0,4.9 получим 407, 470, 704, 740
9
(10) двузначное
разряды единицы, десятки, сотни, тысячи и т.д
30, 37, 70, 73
тысячи
миллионы
класс тысяч составляет 3 разряда: единицы тысяч, десятки тысяч, сотни тысяч
Класс миллионов 3 разряда: единицы миллионов, десятки миллионов, сотни миллионов
10 единиц образуют следующий десяток
10 десятков следующую сотню
10 сотен образуют 1 ед тысяч и т.д
А)
1) 960:4=240(кг) составляет морковь
2) 960:15*7= 448(кг) картофеля привезли
3) 960-448-240= 272 (кг) капусты было.
Обратная :
) В магазин привезли 960 кг.овощей.Четверть этого количества составляла морковь, 272 кг - капусты, а остальное - картофель. Сколько привезли картофеля?
В магазин привезли 960 кг.овощей.7/15 этого количества составлял картофель, 272 кг капуста, а остальное морковь. Сколько в магазин привезли морковки?
Б) 240*4= 960 в магазин(кг) овощей всего привезли в магазин
Обратная :
В магазин привезли 960кг овощей,четвертую часть всех привезенных в него овощей составляла морковь.Сколько моркови привезли в магазин?
В магазин привезли 960 кг овощей, из них 240 кг - моркови . Какую часть всех привезенных в него овощей составляла морковь?
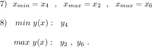
5) функция общего вида (ни чётная и ни нечётная)
6) функция возрастает при![x\in (-\infty ;\, x_2\, ]\cup [\ x_4\, ;\, x_6\ ]](/tpl/images/4672/3080/e15f9.png)
функция убывает при![x\in [\ x_2\, ;\, x_4\ ]\cup [\ x_6\, ;+\infty )](/tpl/images/4672/3080/22e1f.png)