М
Молодежь
К
Компьютеры-и-электроника
Д
Дом-и-сад
С
Стиль-и-уход-за-собой
П
Праздники-и-традиции
Т
Транспорт
П
Путешествия
С
Семейная-жизнь
Ф
Философия-и-религия
Б
Без категории
М
Мир-работы
Х
Хобби-и-рукоделие
И
Искусство-и-развлечения
В
Взаимоотношения
З
Здоровье
К
Кулинария-и-гостеприимство
Ф
Финансы-и-бизнес
П
Питомцы-и-животные
О
Образование
О
Образование-и-коммуникации
healarcimbo
healarcimbo
31.03.2020 20:24 •  Математика

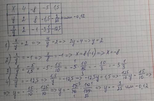
148. Заполните таблицу: Таблица 2


148. Заполните таблицу: Таблица 2

👇
Ответ:
Lilu700
Lilu700
31.03.2020

Подробное решение во вложении


148. Заполните таблицу: Таблица 2
4,8(86 оценок)
Открыть все ответы
Ответ:
ШкОлА1337228
ШкОлА1337228
31.03.2020
1комплект 2+3=5 предметов
x комплектов-1080 предм
x=(1080*1):5=216 комлектов полных привезли

если брать один комплект(5 предметов)  за 100% то наволочек( 3 предмета)  в нем будет 60% ,Тогда берем кол-во привезенных предметов (1080) за 100% и высчитываем кол-во  наволочек ,  уже зная что они занимают 60%

  5-100%
  3-x%  х=3*100:5=60%   1080-100%
                                          х-60%  Х=1080*60:100=648 наволочек
                                          1080-648=432 простыни
                                         648-432=216 на столько  больше привезли наволочек чем простыней
4,7(15 оценок)
Ответ:
кирилл2064
кирилл2064
31.03.2020
1комплект 2+3=5 предметов
x комплектов-1080 предм
x=(1080*1):5=216 комлектов полных привезли

если брать один комплект(5 предметов)  за 100% то наволочек( 3 предмета)  в нем будет 60% ,Тогда берем кол-во привезенных предметов (1080) за 100% и высчитываем кол-во  наволочек ,  уже зная что они занимают 60%

  5-100%
  3-x%  х=3*100:5=60%   1080-100%
                                          х-60%  Х=1080*60:100=648 наволочек
                                          1080-648=432 простыни
                                         648-432=216 на столько  больше привезли наволочек чем простыней
4,6(18 оценок)
Это интересно:
Новые ответы от MOGZ: Математика
logo
Вход Регистрация
Что ты хочешь узнать?
Спроси Mozg
Открыть лучший ответ