М
Молодежь
К
Компьютеры-и-электроника
Д
Дом-и-сад
С
Стиль-и-уход-за-собой
П
Праздники-и-традиции
Т
Транспорт
П
Путешествия
С
Семейная-жизнь
Ф
Философия-и-религия
Б
Без категории
М
Мир-работы
Х
Хобби-и-рукоделие
И
Искусство-и-развлечения
В
Взаимоотношения
З
Здоровье
К
Кулинария-и-гостеприимство
Ф
Финансы-и-бизнес
П
Питомцы-и-животные
О
Образование
О
Образование-и-коммуникации
Greninja
Greninja
27.11.2021 15:12 •  Математика

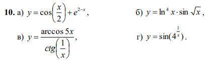
Решите .
Тема - Вычисление производных.
Задали в институте


Решите . Тема - Вычисление производных. Задали в институте

👇
Открыть все ответы
Ответ:
Arseni01
Arseni01
27.11.2021

ответ:

пошаговое объяснение:

1) x+23=41                     4)   x-61=17          

          x=18                               x=78

2) 36+y=74                   5) 46-y=24

          y=38                             y=22

3) 85+z=97                   6) 53-z=25

          z=12                             z=28

4,4(19 оценок)
Ответ:
ALMUGGG
ALMUGGG
27.11.2021
Дзерен на подобии антилопы,морж атлантический,азиатский гепард, манул-большая кошка,кулан ,зубр,барс и амурский тигр и т.д Сегодня, в связи с крайне агрессивной антропогенизацией нашей планеты, а также с тем, что природа все больше и больше страдает от результатов деятельности человека, засоряющего её различными техногенными отходами, а зачастую и просто своего легкомысленного отношения  к флоре и фауне, многие виды животных, испокон веков обитающих на различных территориях России, оказались на грани вымирания.
4,5(86 оценок)
Это интересно:
Новые ответы от MOGZ: Математика
logo
Вход Регистрация
Что ты хочешь узнать?
Спроси Mozg
Открыть лучший ответ