М
Молодежь
К
Компьютеры-и-электроника
Д
Дом-и-сад
С
Стиль-и-уход-за-собой
П
Праздники-и-традиции
Т
Транспорт
П
Путешествия
С
Семейная-жизнь
Ф
Философия-и-религия
Б
Без категории
М
Мир-работы
Х
Хобби-и-рукоделие
И
Искусство-и-развлечения
В
Взаимоотношения
З
Здоровье
К
Кулинария-и-гостеприимство
Ф
Финансы-и-бизнес
П
Питомцы-и-животные
О
Образование
О
Образование-и-коммуникации
LOLLLAada
LOLLLAada
09.07.2022 00:50 •  Математика

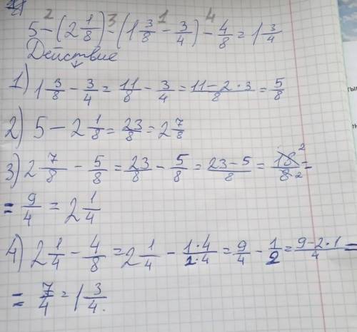
Выполните вычитание: 5-(2целых 1/8-(1целая 3/8-3/4)-4/8(

👇
Ответ:
ALEXSEENKOALEX
ALEXSEENKOALEX
09.07.2022

Пошаговое объяснение:

ответ на фото ответ: 1целая 3/4
Выполните вычитание: 5-(2целых 1/8-(1целая 3/8-3/4)-4/8(
4,4(33 оценок)
Открыть все ответы
Ответ:
romababiy09
romababiy09
09.07.2022

1.Дайте определение линейного уравнения с двумя переменными

Решение

Линейное уравнение с двумя переменными - любое уравнение, которое имеет следующий вид: ax + by = с, где  x и y  переменные, a,b,c – некоторые числа.

2. Любое из слагаемых в уравнении можно перенести из одной части в другую, при этом необходимо изменить его знак на противоположный. Полученное уравнение будет равносильно исходному.

3. Пара чисел называется решением линейного уравнения с двумя переменными, если при их подстановке в уравнение получается верное равенство.

4,6(26 оценок)
Ответ:
Ich bin am 7 November,  an einem kalten Herbsttag geboren. Ich bekomme an diesem Tag viele  Gratulationen.  Mich gratulieren meine Eltern, meine Geschwister  meine Freunde und Freundinnen. Ich bekomme auch viele Geschanke an diesem Tag. Das sind Blumen, Spielzeuge,etwas aus Kleidung. Meine  Mutter , zum Beispiel, schenkte mir eine schone Bluse.Wir kochen zu diesem Tag viel  Schmeckhaftes.Meine Freunde kommen an diesem Tag zu uns
und wir verbringen Zeit sehr interessant: horenMusik, tanzen  und erzahlen einander interessante Geschichte.Das ist ein glucklicher Tag in meinem Leben.
Перевод на русском

Я родилась седьмого ноября в один из холодных осенних дней Я получаю в этот день много поздравлений.Меня поздравляют мои родители, мои братья и сестры, мои друзья и подруги. Я также получаю в этот день много подарков.Это - цветы, игрушки, и кое - что из одежды. Моя мама ,например ,подарила мне красивую кофточку.Мы готовим  к этому дню много вкусностей. Мои друзья приходят в этот день к нам и  мы интересно проводим  время : слушаем музыку, танцуем и рассказываем  интересные истории.Это один из счастливых дней в моей жизни.
4,8(63 оценок)
Новые ответы от MOGZ: Математика
logo
Вход Регистрация
Что ты хочешь узнать?
Спроси Mozg
Открыть лучший ответ