
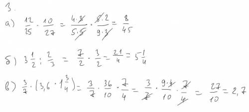
Відповідь:
А)8/45
Б)5. 1/4 або 5.25
В)2.7
Покрокове пояснення:
А)
12/25 × 10/27 = 4/5 × 2/9 = 8/45
Б) переводимо перший дріб в 7/2
7/2 : 2/3 = 7/2 × 3/2 = 21/4 = 5цілих 1/4
В)спочатку дія в дужках, переводимо
36/10 × 7/4 = 9/10×7=63/10=6. 3/10
3/7 × 63/10 = 189/70=27/10=2.7
Надіюсь зрозумієте
без лишних слов)
Пошаговое объяснение: