М
Молодежь
К
Компьютеры-и-электроника
Д
Дом-и-сад
С
Стиль-и-уход-за-собой
П
Праздники-и-традиции
Т
Транспорт
П
Путешествия
С
Семейная-жизнь
Ф
Философия-и-религия
Б
Без категории
М
Мир-работы
Х
Хобби-и-рукоделие
И
Искусство-и-развлечения
В
Взаимоотношения
З
Здоровье
К
Кулинария-и-гостеприимство
Ф
Финансы-и-бизнес
П
Питомцы-и-животные
О
Образование
О
Образование-и-коммуникации
limka13
limka13
22.10.2021 08:00 •  Математика

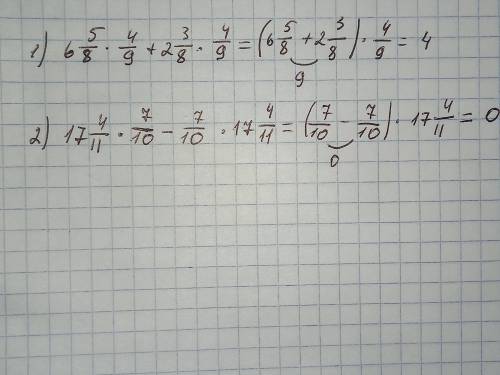
385 Вычислите удобным 1) 6 5/8× 4/9 + 2 3/8 x 4/9. 2) 17 4/11×7/10-7/10×7 4/11

👇
Ответ:
Assssssa
Assssssa
22.10.2021

ответ: 1) 4 2) 0

Пошаговое объяснение:

всё на листочке


385 Вычислите удобным 1) 6 5/8× 4/9 + 2 3/8 x 4/9. 2) 17 4/11×7/10-7/10×7 4/11
4,4(65 оценок)
Открыть все ответы
Ответ:
handofkremlin
handofkremlin
22.10.2021
Первое решение. Пусть O – середина отрезка BD. Прямая BD перпендикулярна плоскости AOA1. Следовательно, плоскости BDA1 и AOA1 перпендикулярны. Искомым перпендикуляром, опущенным из точки A на плоскость BDA1, является высота AH прямоугольного треугольника AOA1, в котором AA1 = 1, AO = , OA1 = √6/2. Для площади S этого треугольника имеют место равенства . Откуда находим AH = √3/3

Второе решение. Пусть O – середина отрезка BD. Прямая BD перпендикулярна плоскости AOA1. Следовательно, плоскости BDA1 и AOA1 перпендикулярны. Искомым перпендикуляром, опущенным из точки A на плоскость BDA1, является высота AH прямоугольного треугольника AOA1, в котором AA1 = 1, AO = , OA1 =√6/2 . Треугольники AOA1 иHOA подобны по трем углам. Следовательно, AA1:OA1 = AH:AO. Откуда находим AH = √3/3.

Третье решение. Пусть O – середина отрезка BD. Прямая BD перпендикулярна плоскости AOA1. Следовательно, плоскости BDA1 и AOA1 перпендикулярны. Искомым перпендикуляром, опущенным из точки A на плоскость BDA1, является высота AH прямоугольного треугольника AOA1, в котором AA1 = 1, AO = , OA1 =√6/2 . Откуда sin угла AOA1=√6/3
и, следовательно, AH=AO* sin угла AOH=√3/3
4,5(66 оценок)
Ответ:
tanya665444
tanya665444
22.10.2021
Первое решение. Пусть O – середина отрезка BD. Прямая BD перпендикулярна плоскости AOA1. Следовательно, плоскости BDA1 и AOA1 перпендикулярны. Искомым перпендикуляром, опущенным из точки A на плоскость BDA1, является высота AH прямоугольного треугольника AOA1, в котором AA1 = 1, AO = , OA1 = √6/2. Для площади S этого треугольника имеют место равенства . Откуда находим AH = √3/3

Второе решение. Пусть O – середина отрезка BD. Прямая BD перпендикулярна плоскости AOA1. Следовательно, плоскости BDA1 и AOA1 перпендикулярны. Искомым перпендикуляром, опущенным из точки A на плоскость BDA1, является высота AH прямоугольного треугольника AOA1, в котором AA1 = 1, AO = , OA1 =√6/2 . Треугольники AOA1 иHOA подобны по трем углам. Следовательно, AA1:OA1 = AH:AO. Откуда находим AH = √3/3.

Третье решение. Пусть O – середина отрезка BD. Прямая BD перпендикулярна плоскости AOA1. Следовательно, плоскости BDA1 и AOA1 перпендикулярны. Искомым перпендикуляром, опущенным из точки A на плоскость BDA1, является высота AH прямоугольного треугольника AOA1, в котором AA1 = 1, AO = , OA1 =√6/2 . Откуда sin угла AOA1=√6/3
и, следовательно, AH=AO* sin угла AOH=√3/3
4,8(44 оценок)
Это интересно:
Новые ответы от MOGZ: Математика
logo
Вход Регистрация
Что ты хочешь узнать?
Спроси Mozg
Открыть лучший ответ