М
Молодежь
К
Компьютеры-и-электроника
Д
Дом-и-сад
С
Стиль-и-уход-за-собой
П
Праздники-и-традиции
Т
Транспорт
П
Путешествия
С
Семейная-жизнь
Ф
Философия-и-религия
Б
Без категории
М
Мир-работы
Х
Хобби-и-рукоделие
И
Искусство-и-развлечения
В
Взаимоотношения
З
Здоровье
К
Кулинария-и-гостеприимство
Ф
Финансы-и-бизнес
П
Питомцы-и-животные
О
Образование
О
Образование-и-коммуникации
MATEMATIK12345678
MATEMATIK12345678
03.12.2020 03:00 •  Математика

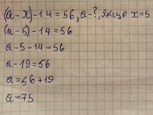
Какое число надо подставить вместо , чтобы корнем уравнения (а – х) – 14 = 56 было число 5?Подскажите :

👇
Ответ:
Mandjiev
Mandjiev
03.12.2020

(a - x) - 14 = 56

(a - 5) - 14 = 56

(a - 5) = 56 +14

а - 5 = 70

а = 70 + 5

а = 75

ответ 75

4,6(37 оценок)
Ответ:
оспшро
оспшро
03.12.2020

Відповідь з покроковим поясненням


Какое число надо подставить вместо , чтобы корнем уравнения (а – х) – 14 = 56 было число 5?Подскажит
4,8(69 оценок)
Открыть все ответы
Ответ:
ogne1arp
ogne1arp
03.12.2020
Подсолнечник. тепло в плане тепла, для возделывания подсолнечника определены те климатические зоны, где средняя влажность обычно не превышает 20%. в таких климатических условиях почти все гибриды можно без проблем выращивать, не применяя такой агротехнический прием как дефолиацию. в тех областях, где световой день немного короче, требуется дефолиация и предпочитаются более ранние гибриды. подсолнуху во время его цветения требуется большое количество тепло и более высокий уровень влажности более высокий, чем обычно, так как это будет стимулировать процесс опыления. подсолнечнику в среднем для оптимального созревания необходимо минимум 20-25 теплых и сухих дней (обычно это в августе). но в случае, если погода в августе не даст такой возможности, то время уборки нужно перенести на сентябрь.почва. насчет типа земель, подсолнечник – это та масличная культура, которая имеет достаточно высокую адаптивность к различным типам почв. одними из лучших типов земель для подсолнуха есть такие как: с небольшим процентом содержанием глины в прикорневой зоне растения (суглинки) с нормальным содержанием грунтовых вод в верхних слоях грунта, также подсолнечник достаточно хорошо произрастает и на более легких и более тяжелых грунтах. что касается содержания азота в грунте, то подсолнечник не нуждается в его высоком количестве, чего не скажешь о наличии калия и фосфора, так как от этих микроэлементов в большой степени будет зависеть стрессоустойчивость и процент масла в зрелых семенах.
4,8(77 оценок)
Ответ:
sashuljalapulja
sashuljalapulja
03.12.2020
3м 10м 25м 25м                                                                                                                                                                             
4,8(64 оценок)
Это интересно:
Новые ответы от MOGZ: Математика
logo
Вход Регистрация
Что ты хочешь узнать?
Спроси Mozg
Открыть лучший ответ