М
Молодежь
К
Компьютеры-и-электроника
Д
Дом-и-сад
С
Стиль-и-уход-за-собой
П
Праздники-и-традиции
Т
Транспорт
П
Путешествия
С
Семейная-жизнь
Ф
Философия-и-религия
Б
Без категории
М
Мир-работы
Х
Хобби-и-рукоделие
И
Искусство-и-развлечения
В
Взаимоотношения
З
Здоровье
К
Кулинария-и-гостеприимство
Ф
Финансы-и-бизнес
П
Питомцы-и-животные
О
Образование
О
Образование-и-коммуникации
leo00000
leo00000
19.05.2021 07:01 •  Математика

1. Реши уравнение: 6^d= 1296 ответ: d= _

2. Найди показатель степени числа 1/^9√6^t :
t/9
−9/t
9/t
−t/9

3. (1) Запиши в виде степени с отрицательным показателем: 27/8 = (_ / _)^-_ (Используй наименьшее из возможных оснований!)
(2) Реши уравнение: (3/4)^u=4/3
ответ: u= _ _
(введи знак «−», если ответ отрицательный, либо знак «+», если ответ
положительный).

4. Реши уравнение: 6^x = 36
ответ: x= _

👇
Ответ:
galimullinaan
galimullinaan
19.05.2021

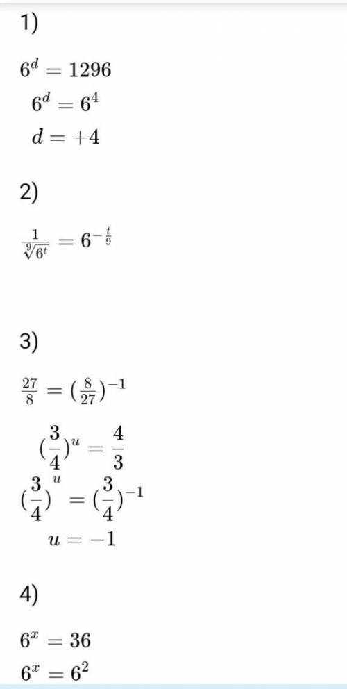
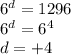
1)

{6}^{d} = 1296 \\ {6}^{d} = {6}^{4} \\ d = + 4

2)

\frac{1}{ \sqrt[9]{ {6}^{t} } } = {6}^{ - \frac{t}{9} }

Показатель степени -t/9

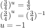
3)

\frac{27}{8} = ( \frac{8}{27} )^{ - 1}

( \frac{3}{4} )^{u} = \frac{4}{3} \\ {( \frac{3}{4}) }^{u} = ( \frac{3}{4} ) ^{ - 1} \\ u = - 1

4)

{6}^{x} = 36 \\ {6}^{x} = {6}^{2} \\ x = + 2

4,6(44 оценок)
Ответ:
volgakup
volgakup
19.05.2021

ответы:

Пошаговое объяснение:

Ну вот так наверно да.


1. Реши уравнение: 6^d= 1296 ответ: d= _ 2. Найди показатель степени числа 1/^9√6^t : t/9 −9/t 9/t −
4,8(78 оценок)
Открыть все ответы
Ответ:
Makich4
Makich4
19.05.2021
1. Например тень от какого либо предмета, падающая от единого источника освещения (лампы например).
2. Проецирование - получение проекций предмета на какую любо поверхность
3. Центральное проецирование это как раз про пример, что я написал в 1 вопросе. Все лучи выходят из одной точки.
4. Проекция точки - это есть основание перпендикуляра точки на проецируемую плоскость или сама точка, если она уже лежит на этой плоскости. 
5. Прямоугольное проецирование - проекция перпендикулярна детали, под 90 град. от плоскости. Как бы в воздухе над столом деталь висит. Её тень и будет проекцией.
6. Косоугольное проецирование - это тоже самое, что и прямоугольное, но лучи падают под острым углом.
7. Прямоугольное
8. Во первых только "не всегда", а вообще никогда одной проекции не может быть достаточно. Потому что нельзя показать толщину ИЛИ длину детали только одной проекцией. Для простых деталей хватит и двух проекций.
9.
H - вид сверху, располагается внизу слева
V - вид спереди (главный вид), располагается над видом сверху
W - вид слева, располагается справа от главного вида
4,7(16 оценок)
Ответ:
kcasimova2018
kcasimova2018
19.05.2021

Пошаговое объяснение:

1

5/9=0,(5)

13/99=0,(13)

2

C=nd=n2r=n*2*12=3,1*24=74,4 см

S=πr²=3,1*12²=3,1*144=446,4 см²

3

3,5x-1,4x=1,4+2,8

2,1x=4,2

x=4,2:2,1

x=2

4

a)A(-1;1)  B(3;1)  C(-1;-3)  D(2;-2)

b)BC  c  ox  (2;0)

  AB  c  oy   (0;1)

5

12т-80%

х  -100%

12*100:80=15( т)-надо накосить травы.

6

1.  -2у+3у=8+6     1 точка (6;14)

у=14

2.   15х-10х=-12-3        2 точка (-3;2)

       5х= -15

        х=-15:5

          х= -3

3.  -5х+6х= -12+11       3 точка (-1;-1)

       х= -1

4.   3а-8а= -15-5          4 точка (4;-1)

       -5а= -20

          а= -20:(-5)

              а=4

5.  5х-3х=27-15           5 точка (6;6)

           2х=12

              х=6

6.   4х-8х= -4-4             6 точка (2;2)

         -4х= -8

            х= -8:(-4)

               х=2

7.       -3у-6у=14-32           7 точка (-3;2)

            -9у= -18

               у= -18:(-9)

                у=2

4,5(17 оценок)
Это интересно:
Новые ответы от MOGZ: Математика
logo
Вход Регистрация
Что ты хочешь узнать?
Спроси Mozg
Открыть лучший ответ