М
Молодежь
К
Компьютеры-и-электроника
Д
Дом-и-сад
С
Стиль-и-уход-за-собой
П
Праздники-и-традиции
Т
Транспорт
П
Путешествия
С
Семейная-жизнь
Ф
Философия-и-религия
Б
Без категории
М
Мир-работы
Х
Хобби-и-рукоделие
И
Искусство-и-развлечения
В
Взаимоотношения
З
Здоровье
К
Кулинария-и-гостеприимство
Ф
Финансы-и-бизнес
П
Питомцы-и-животные
О
Образование
О
Образование-и-коммуникации

ДАЮ 25Б.! ПРИМЕР:
((1 целая 2/3)2степень + 1 целая 5/6) • 6 - 5 целых 2/3

если правильно - подпишусь


ДАЮ 25Б.! ПРИМЕР:((1 целая 2/3)2степень + 1 целая 5/6) • 6 - 5 целых 2/3если правильно - подпишусь

👇
Ответ:
anashakirova09
anashakirova09
30.04.2020

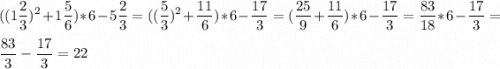
\displaystyle((1\frac{2}{3})^2+1\frac{5}{6})*6-5\frac{2}{3}=((\frac{5}{3})^2+\frac{11}{6})*6-\frac{17}{3}=(\frac{25}{9}+\frac{11}{6})*6-\frac{17}{3}=\frac{83}{18}*6-\frac{17}{3}=\\ \\ \frac{83}{3}-\frac{17}{3}=22

4,8(43 оценок)
Открыть все ответы
Ответ:
egorlapin2004
egorlapin2004
30.04.2020
Возникновение орнамента уходит своими корнями вглубь веков, впервые его следы запечатлены в эпоху палеолита. В культуре неолита орнамент достиг уже большого разнообразия форм и стал доминировать. Со временем орнамент теряет своё господствующее положение и познавательное значение, сохраняя, однако, за собой важную упорядочивающую и украшающую роль в системе пластического творчества. Каждая эпоха, стиль, последовательно выявившаяся национальная культура вырабатывали свою систему, поэтому орнамент является надёжным признаком принадлежности произведений к определённому времени, народу, стране. Несомненно, также, что орнаментальная история имеет свои константы, знаки, которые, не изменяясь со временем, принадлежат различным культурам, стилям и культурным эпохам. К таким знакам относится, например, колесо. Особенного развития достигает орнамент там, где преобладают условные формы отображения действительности: наДревнем Востоке, в доколумбовой Америке, в азиатских культурах древности и средних веков, в европейском средневековье. В народном творчестве, с древнейших времён, складываются устойчивые принципы и формы орнамента, во многом определяющие национальные художественные традиции. Например, в Индии сохранилось древнее искусство ранголи (альпона)- орнаментальный рисунок — молитва.
4,7(9 оценок)
Ответ:
shamanka12
shamanka12
30.04.2020
Международное гуманитарное право(право войны, право вооружённых конфликтов) — совокупность международно-правовых норм и принципов, регулирующих защиту жертв войны, а также ограничивающих методы и средства ведения войны. международное право вооружённых конфликтов кодифицировано в  гаагских конвенциях,  женевских конвенциях о защите жертв войны  1949 г. и дополнительных протоколах к ним 1977 г., резолюциях  генеральной ассамблеи оон  и других документах. отдельные ограничения, установленные международным гуманитарным правом, распространяются и на вооружённые конфликты не международного (внутреннего) характера.
4,5(25 оценок)
Новые ответы от MOGZ: Математика
logo
Вход Регистрация
Что ты хочешь узнать?
Спроси Mozg
Открыть лучший ответ