М
Молодежь
К
Компьютеры-и-электроника
Д
Дом-и-сад
С
Стиль-и-уход-за-собой
П
Праздники-и-традиции
Т
Транспорт
П
Путешествия
С
Семейная-жизнь
Ф
Философия-и-религия
Б
Без категории
М
Мир-работы
Х
Хобби-и-рукоделие
И
Искусство-и-развлечения
В
Взаимоотношения
З
Здоровье
К
Кулинария-и-гостеприимство
Ф
Финансы-и-бизнес
П
Питомцы-и-животные
О
Образование
О
Образование-и-коммуникации
Nikita20330
Nikita20330
22.12.2020 11:49 •  Математика

Запишите бесконечную периодическую десятичную дробь в виде обыкновеной 0,(4) 8,14(3)

👇
Ответ:
Springtrap222134124
Springtrap222134124
22.12.2020

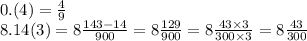
0.(4) = \frac{4}{9} \\ 8.14(3) = 8 \frac{143 - 14}{900} = 8 \frac{129}{900} = 8 \frac{43 \times 3}{300 \times 3} = 8 \frac{43}{300}

4,6(41 оценок)
Открыть все ответы
Ответ:
RU2017
RU2017
22.12.2020
Чтобы решить эту задачу, нам необходимо использовать пропорцию и определить отношение между b и n.

Итак, у нас дана пропорция 1.2 : b = 15 : n.

Шаг 1: Для облегчения вычислений, можно умножить обе части пропорции на 10, чтобы избавиться от десятичной части. Это не изменит отношение между числами.

После умножения пропорция примет следующий вид: 12 : b = 150 : n.

Шаг 2: Далее мы замечаем, что оба числа 12 и 150 делятся на 6. Разделим их на 6.

Получим новую пропорцию: 2 : b = 25 : n.

Шаг 3: Рассмотрим отношение 2 : 25, чтобы убедиться, что они являются взаимно простыми числами. Взаимно простые числа - это числа, у которых нет общих делителей кроме 1.

Для проверки отношения 2 : 25, мы можем просто сократить его на общий делитель, если он существует. В данном случае, общий делитель у 2 и 25 отсутствует, поэтому отношение 2 : 25 является уже взаимно простым.

Таким образом, отношение b к n равно 2 : 25.
4,7(56 оценок)
Ответ:
natab02
natab02
22.12.2020
Чтобы определить, в каком классе процент учащихся, ставших призёрами, выше, сравним оба класса.

В классе "a" в олимпиаде участвовало 15 человек, призерами стали 3 человека. Чтобы определить процент призёров в этом классе, нужно разделить количество призёров на общее количество участников и умножить на 100:

Процент призёров в классе "a" = (3/15) * 100 = 20%.

В классе "б" в олимпиаде приняли участие 10 человек, призёрами стали 2 человека. Чтобы определить процент призёров в этом классе, нужно также разделить количество призёров на общее количество участников и умножить на 100:

Процент призёров в классе "б" = (2/10) * 100 = 20%.

Таким образом, процент учащихся, ставших призёрами, одинаковый в обоих классах и составляет 20%. Нельзя однозначно сказать, какой класс лучше выступил в олимпиаде, так как у них одинаковый процент призёров.
4,6(69 оценок)
Это интересно:
Новые ответы от MOGZ: Математика
logo
Вход Регистрация
Что ты хочешь узнать?
Спроси Mozg
Открыть лучший ответ