М
Молодежь
К
Компьютеры-и-электроника
Д
Дом-и-сад
С
Стиль-и-уход-за-собой
П
Праздники-и-традиции
Т
Транспорт
П
Путешествия
С
Семейная-жизнь
Ф
Философия-и-религия
Б
Без категории
М
Мир-работы
Х
Хобби-и-рукоделие
И
Искусство-и-развлечения
В
Взаимоотношения
З
Здоровье
К
Кулинария-и-гостеприимство
Ф
Финансы-и-бизнес
П
Питомцы-и-животные
О
Образование
О
Образование-и-коммуникации
Pmoshnek
Pmoshnek
26.09.2022 16:27 •  Математика

ЛЮДИ ДОБРЫЕ РЕШИТЬ ДВА ПРИМЕРА ПУНКТ В) Г ,УМОЛЯЮ , ОЧЕНЬ НАДО


ЛЮДИ ДОБРЫЕ РЕШИТЬ ДВА ПРИМЕРА ПУНКТ В) Г ,УМОЛЯЮ , ОЧЕНЬ НАДО

👇
Ответ:
nail4iklatyopo
nail4iklatyopo
26.09.2022

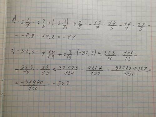
В) 17/5 г) 32,3

Пошаговое объяснение:

Г) -32,3*91/12+29/13*(-32,3)

В) -17/7*14/5+(17/7) *21/5

4,7(83 оценок)
Ответ:
lera10u
lera10u
26.09.2022

вот так правильно расписывать


ЛЮДИ ДОБРЫЕ РЕШИТЬ ДВА ПРИМЕРА ПУНКТ В) Г ,УМОЛЯЮ , ОЧЕНЬ НАДО
4,7(52 оценок)
Открыть все ответы
Ответ:
vikaivanyk
vikaivanyk
26.09.2022
Простое предложение может быть односоставным (один главный член) и двусоставным (оба главных члена - подлежащее и сказуемое) .
Односоставные бывают двух видов: назывные (если главный член - подлежащее) и 4 группы, если главный член-сказуемое, это: определенно-личные, безличные, неопределенно-личные, обобщенно-личные.
Также простые предложения по типу высказывания делятся на: повествовательные, вопросительные, побудительные.
По интонации простые предложения могут быть восклицательными и невосклицательными.
Если есть второстепенные члены, то простое предложение является распространенным, если только подлежащее и сказуемое, то нераспространенное.
4,4(59 оценок)
Ответ:
aishaefendieva
aishaefendieva
26.09.2022
Впервые он возник еще в самой древней из мировых цивилизаций — древнем Шумере, и являлся одним из божеств. Однако древнешумерская традиция была утрачена, и истоки символа современного двуглавого орла восходят ко временам Древнего Рима. Орел был священным животным римлян, вестником верховного бога Юпитера, заметить его полет сулило удачу в битвах. В позднеримской республике появился и штандарт легионов, в виде серебряного или золотого орла, размещенного на шесте (aquila). Потерять aquila считалось величайшем позором, подобный легион расформировывался, поэтому легионеры предпочитали умирать, но не отдать Орла врагам. Позднее этот символ трансформировался в двуглавого орла в Византии, которая считала себя преемницей Римской империи, а жители называли себя «ромеи» ( т.е. римляне). Двуглавый орел был гербом одних из последних греческих правителей эпохи конца Византии, морейских деспотов Палеологов. Великий князь Московской Руси Иван III женился на Софье Палеолог, дочери морейского правителя, и после этого утвердил двуглавого орла в качестве второго символа княжества, после «ездца» ( всадника, поражающего копьем змия). Окончательно гербом изображение двуглавого орла становится при первом русском царе — Иване Грозном. Двуглавый орел в то время был также гербом могущественной Священной Римской Империи, и таким образом Грозный показывал претензии Московской Руси на превращение в могущественную евразийскую державу. Во время одного из следующих московских царей, Алексея Михайловича, у орла появляются скипетр и держава — символы власти. С небольшими изменениями именно это изображение орла просуществовало до Октябрьской Революции и затем было положено в основу современного герба Российской Федерации.  
4,4(54 оценок)
Это интересно:
Новые ответы от MOGZ: Математика
logo
Вход Регистрация
Что ты хочешь узнать?
Спроси Mozg
Открыть лучший ответ