
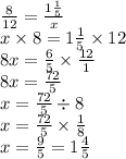
Ответ: на 12 детей - 1.4/5 г. сер.
Пропорция:

Из числа 140 вычесть произведение чисел 26 и 3:
140 - 26 · 3 = 62
1) 26 · 3 = 78
2) 140 - 78 = 62
К частному чисел 28 и 4 прибавить разность чисел 90 и 15:
28 : 4 + (90 - 15) = 82
1) 28 : 4 = 7
2) 90 - 15 = 75
3) 7 + 75 = 82
Произведение чисел 19 и 4 увеличить на частное чисел 35 и 7:
19 · 4 + 35 : 7 = 81
1) 19 · 4 = 76
2) 35 : 7 = 5
3) 76 + 5 = 81
Произведение трёх чисел, каждое из которых равно 9, уменьшить на разность чисел 75 и 56:
9 · 9 · 9 - (75 - 56) = 710
1) 9 · 9 = 81
2) 81 · 9 = 729
3) 75 - 56 = 19
4) 729 - 19 = 710
Из числа 140 вычесть произведение чисел 26 и 3:
140 - 26 · 3 = 62
1) 26 · 3 = 78
2) 140 - 78 = 62
К частному чисел 28 и 4 прибавить разность чисел 90 и 15:
28 : 4 + (90 - 15) = 82
1) 28 : 4 = 7
2) 90 - 15 = 75
3) 7 + 75 = 82
Произведение чисел 19 и 4 увеличить на частное чисел 35 и 7:
19 · 4 + 35 : 7 = 81
1) 19 · 4 = 76
2) 35 : 7 = 5
3) 76 + 5 = 81
Произведение трёх чисел, каждое из которых равно 9, уменьшить на разность чисел 75 и 56:
9 · 9 · 9 - (75 - 56) = 710
1) 9 · 9 = 81
2) 81 · 9 = 729
3) 75 - 56 = 19
4) 729 - 19 = 710
3/20 * 12 = 1 4/5 - на 12 детей.